🇳🇴 🇬🇧 🇩🇪 🇨🇿 🇫🇮

Meteor over Olderdalen 2026-01-29 00:36:17 UTC

KML file  |  Interactive map

The map shows the bearings for the meteor. The lighter lines show the directions from the observation sites at the meteor's appearance, and the darker lines show where it was last seen. The blue arrow indicates the visible path of the meteor.

static map
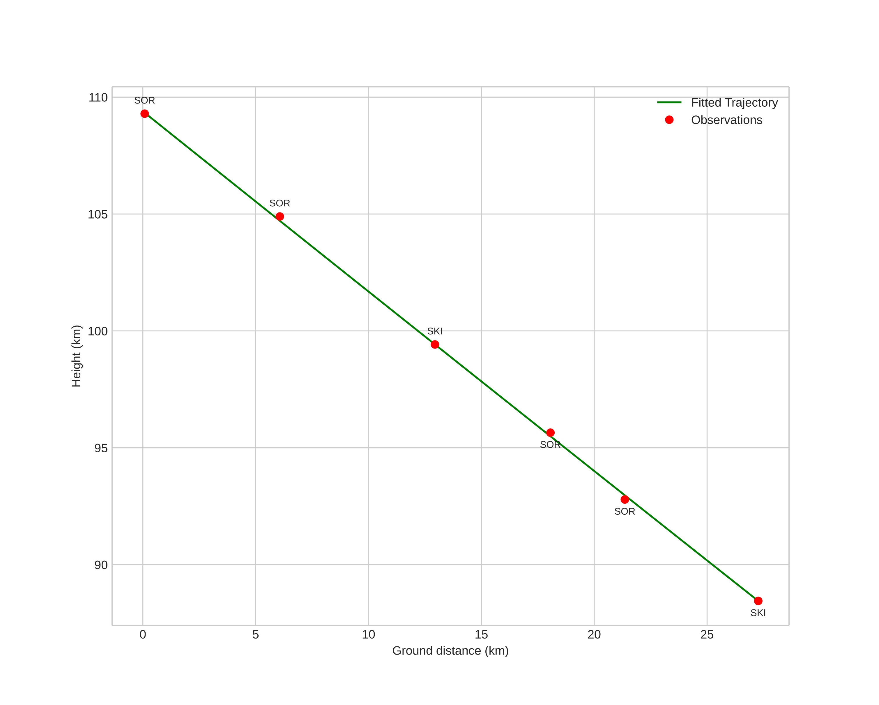
height profile
Meteor's Atmospheric Trajectory:
Start height: 109.4 km
End height: 88.4 km
Start position: 69.538N 21.407E
End position: 69.598N 20.726E
Direction: 284.3°
Inclination angle: 37.6°
Entry speed: 65.6 km/s
Radiant R.A.: 14:44 (221.1°)
Radiant Dec.: 30.0°
Meteor Shower: sporadic
Meteoroid's Orbital Elements:
Perihelion distance: 0.950 AU
Eccentricity: 1.534
Inclination: 109.6°
Long. of Asc. Node: 308.7°
Argument of Perihelion: 199.6°
Mean Anomaly: -4.9°
Epoch: 2026 JAN 29 00:36:17
orbit plot

Non-interactive plot | Interactive plot

position vs time
speed and acceleration

Skibotn (SKI) cam6


gnomonic
Videos
• Gnomonic
• Gnomonic with coordinates
• Original
• Original with coordinates
Images
• Gnomonic
• Gnomonic with coordinates
• Original
• Original with coordinates
Text Files
• Detection
• Observation
• Coordinates
• Log
Brightness

Sorreisa (SOR) cam1


gnomonic
Videos
• Original
Images
• Gnomonic
• Original
Text Files
• Detection
• Observation
• Coordinates
• Log
Brightness

Sorreisa (SOR) cam6


gnomonic
Videos
• Gnomonic
• Gnomonic with coordinates
• Original
• Original with coordinates
Images
• Gnomonic
• Gnomonic with coordinates
• Original
• Original with coordinates
Text Files
• Detection
• Observation
• Coordinates
• Log
Brightness