🇳🇴 🇬🇧 🇩🇪 🇨🇿 🇫🇮

Meteor, poloha: Moen 2026-01-29 00:51:22 UTC

Soubor KML  |  Interaktivní mapa

Mapa zobrazuje dráhy meteoru. Světlejší čáry ukazují směry od pozorovacích stanic při objevení se meteoru a tmavší čáry, kde byl naposledy viděn. Modrá šipka značí viditelnou dráhu meteoru.

static map
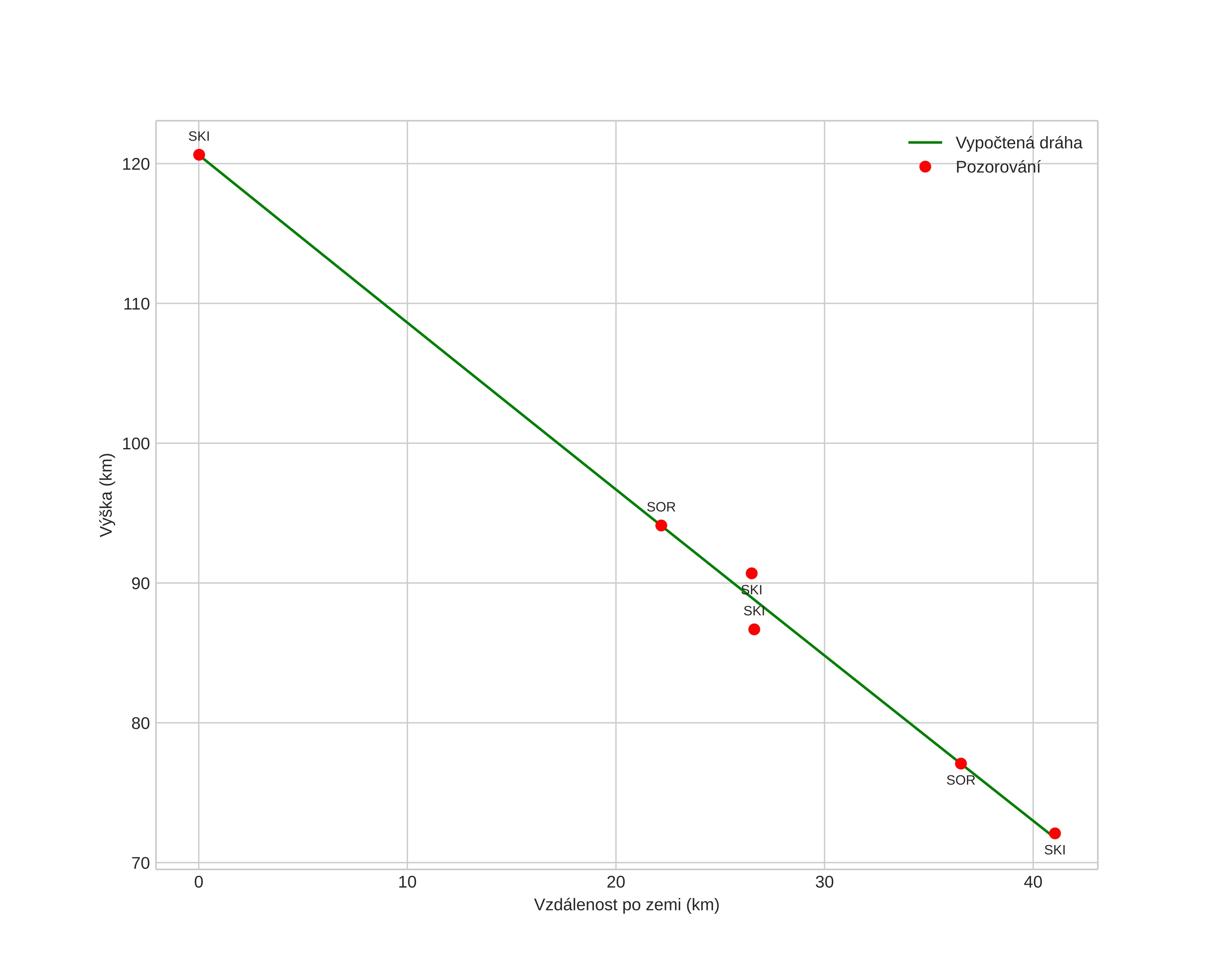
height profile
Atmosférická dráha meteoru:
Počáteční výška: 120,6 km
Konečná výška: 71,9 km
Počáteční poloha: 69,027N 18,115E
Konečná poloha: 69,277N 18,870E
Směr: 46,6°
Sklon: 50,0°
Vstupní rychlost: 0,1 km/s
position vs time
speed and acceleration