🇳🇴 🇬🇧 🇩🇪 🇨🇿 🇫🇮

Meteor, poloha: Hatteng 2026-01-29 05:02:47 UTC

Soubor KML  |  Interaktivní mapa

Mapa zobrazuje dráhy meteoru. Světlejší čáry ukazují směry od pozorovacích stanic při objevení se meteoru a tmavší čáry, kde byl naposledy viděn. Modrá šipka značí viditelnou dráhu meteoru.

static map
height profile
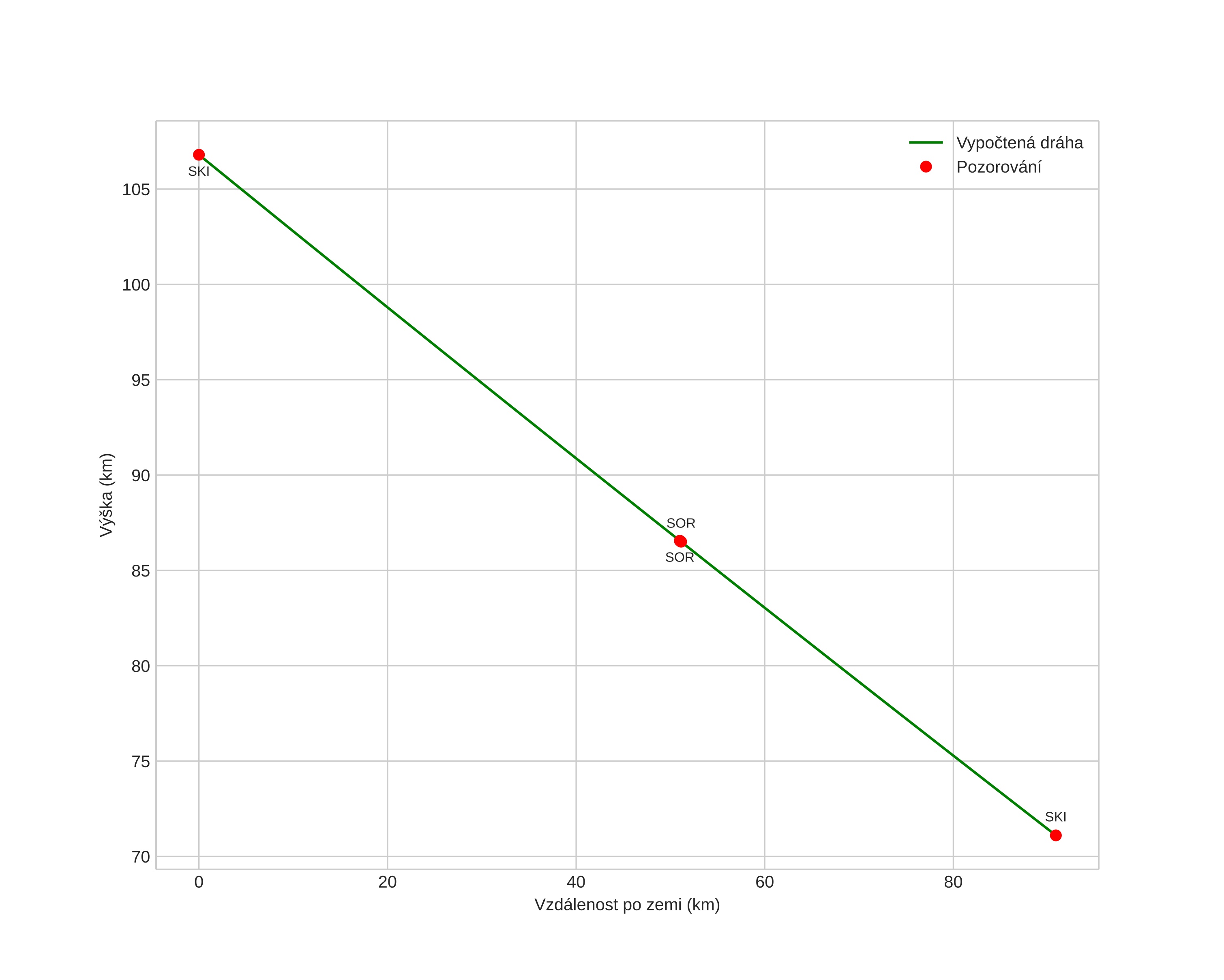
Atmosférická dráha meteoru:
Počáteční výška: 106,8 km
Konečná výška: 71,1 km
Počáteční poloha: 68,174N 18,286E
Konečná poloha: 68,795N 19,736E
Směr: 39,9°
Sklon: 21,4°
orbit plot

Neinteraktivní graf | Interaktivní graf

position vs time
speed and acceleration