🇳🇴 🇬🇧 🇩🇪 🇨🇿 🇫🇮

Meteor over Storsteinnes 2026-01-31 02:48:57 UTC

KML-fil  |  Interaktivt kart

Kartet viser peilingene for meteoren. De lysere linjene viser retningene fra observasjonsstedene for meteorens tilsynekomst, og de mørkere linjene viser hvor den sist kunne sees. Den blå pila viser meteorens synlige ferd.

static map
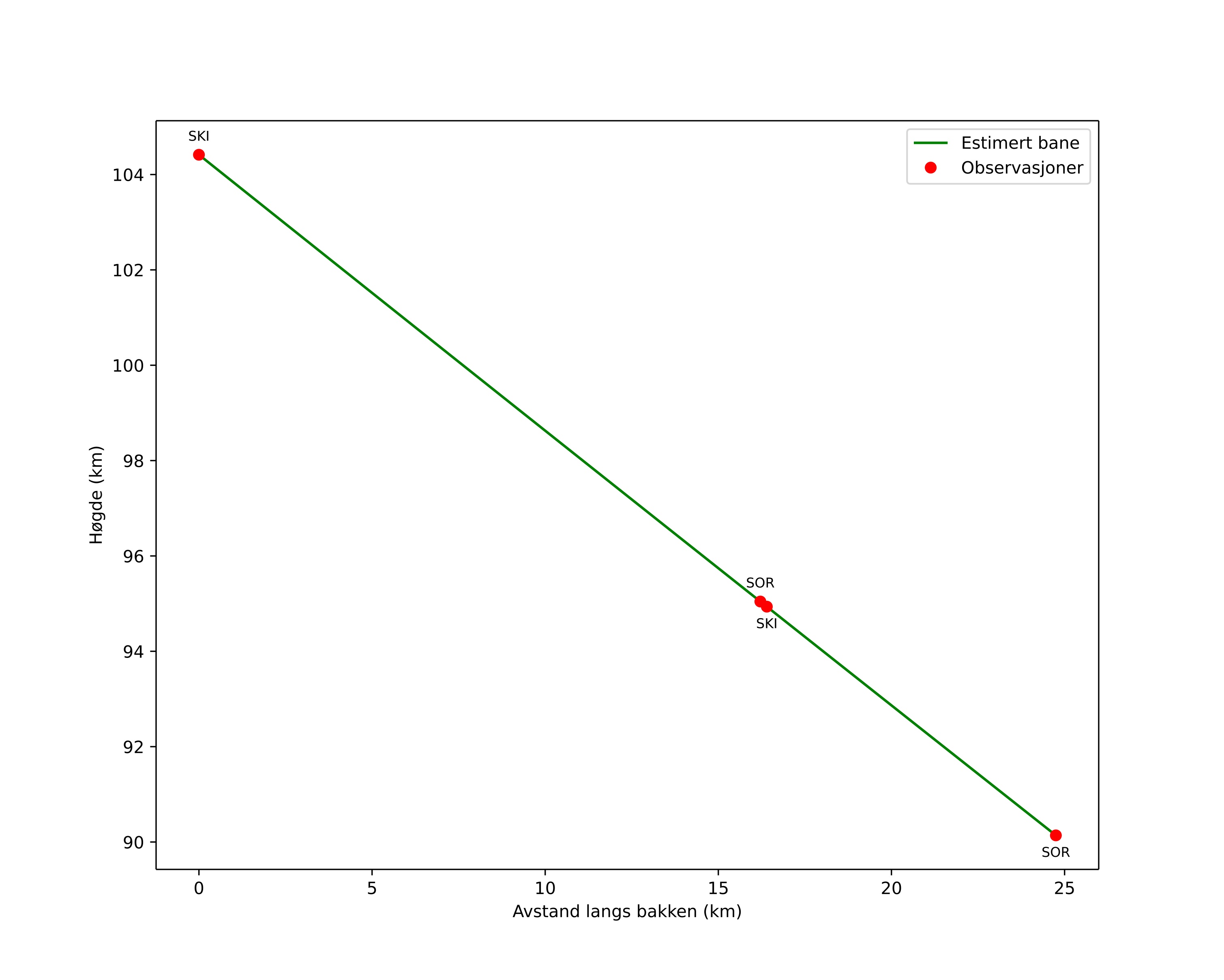
height profile
Meteorens atmosfæriske bane:
Starthøgde: 104,4 km
Slutthøgde: 90,1 km
Startposisjon: 69,078N 20,052E
Sluttposisjon: 69,111N 19,435E
Retning: 278,9°
Fallvinkel: 30,0°
Inngangshastighet: 52,1 km/s
Radiantens rektascensjon: 17:31 (262,9°)
Radiantens deklinasjon: 24,2°
Meteorsverm: sporadisk
Meteoroidens baneelement:
Perihelavstand: 0,740 AU
Eksentrisitet: 1,080
Inklinasjon: 84,3°
Knutelengde: 310,9°
Perihelargument: 121,4°
Midlere anomali: 1,1°
Epoke: 2026 JAN 31 02:48:57
orbit plot

Ikke-interaktivt plott | Interaktivt plott

position vs time
speed and acceleration

Skibotn (SKI) cam7


gnomonic
Videoer
• Gnomonisk
• Gnomonisk med koordinater
• Original
• Original med koordinater
Bilder
• Gnomonisk
• Gnomonisk med koordinater
• Original
• Original med koordinater
Tekstfiler
• Deteksjon
• Observasjon
• Koordinater
• Logg
Lysstyrke

Sorreisa (SOR) cam6


gnomonic
Videoer
• Gnomonisk
• Gnomonisk med koordinater
• Original
• Original med koordinater
Bilder
• Gnomonisk
• Gnomonisk med koordinater
• Original
• Original med koordinater
Tekstfiler
• Deteksjon
• Observasjon
• Koordinater
• Logg
Lysstyrke