🇳🇴 🇬🇧 🇩🇪 🇨🇿 🇫🇮

Meteor over Skagen 2026-02-03 18:26:50 UTC

KML-fil  |  Interaktivt kart

Kartet viser peilingene for meteoren. De lysere linjene viser retningene fra observasjonsstedene for meteorens tilsynekomst, og de mørkere linjene viser hvor den sist kunne sees. Den blå pila viser meteorens synlige ferd.

static map
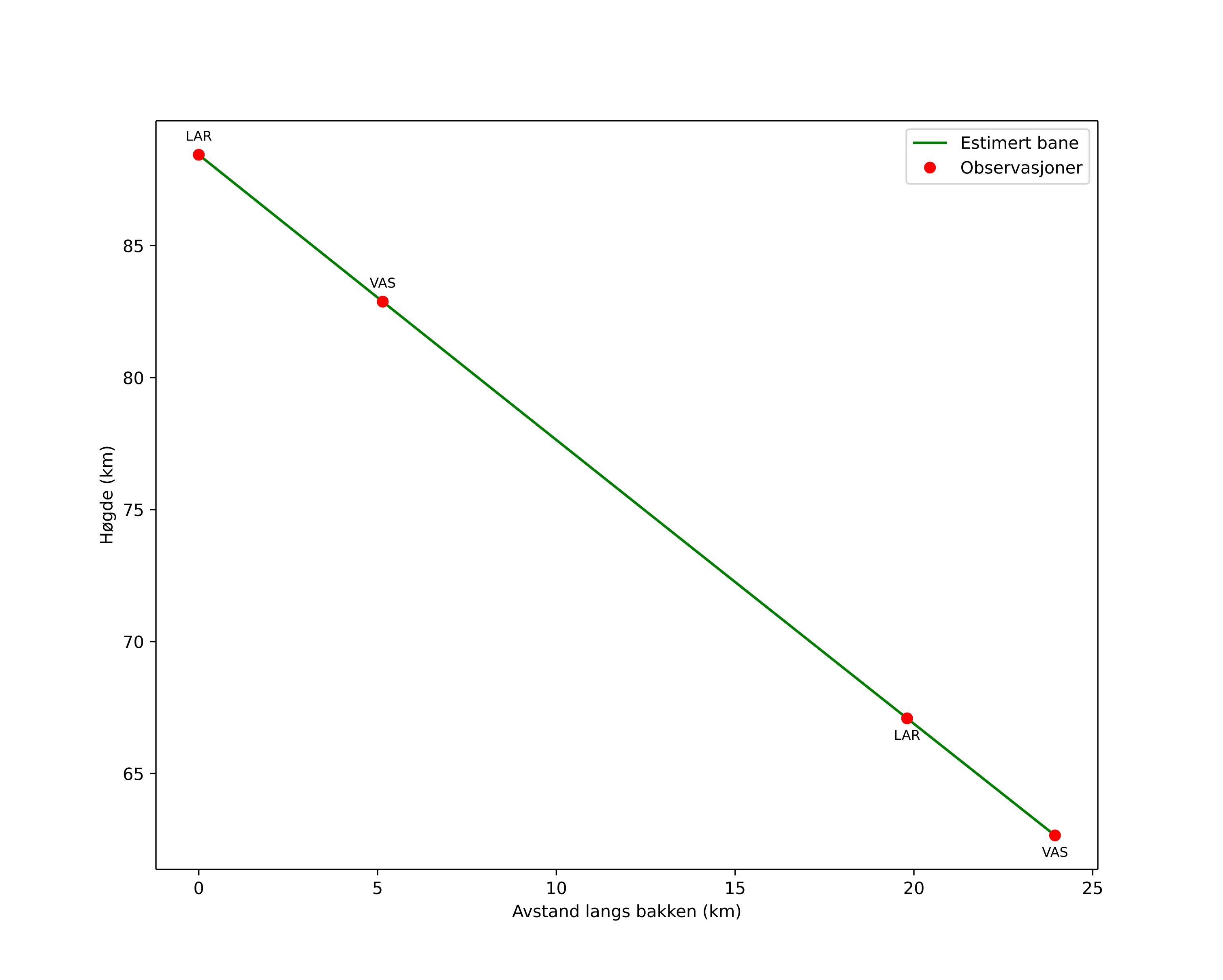
height profile
Meteorens atmosfæriske bane:
Starthøgde: 88,4 km
Slutthøgde: 62,7 km
Startposisjon: 58,110N 9,892E
Sluttposisjon: 58,060N 10,288E
Retning: 103,3°
Fallvinkel: 47,0°
Inngangshastighet: 19,5 km/s
Radiantens rektascensjon: 23:06 (346,7°)
Radiantens deklinasjon: 41,0°
Meteorsverm: sporadisk
Meteoroidens baneelement:
Perihelavstand: 0,954 AU
Eksentrisitet: 0,964
Inklinasjon: 15,3°
Knutelengde: 314,6°
Perihelargument: 159,1°
Midlere anomali: 0,1°
Epoke: 2026 FEB 03 18:26:50
orbit plot

Ikke-interaktivt plott | Interaktivt plott

position vs time
speed and acceleration

Larvik (LAR) cam4


gnomonic
Videoer
• Gnomonisk
• Gnomonisk med koordinater
• Original
• Original med koordinater
Bilder
• Gnomonisk
• Gnomonisk med koordinater
• Original
• Original med koordinater
Tekstfiler
• Deteksjon
• Observasjon
• Koordinater
• Logg
Lysstyrke

Vasteras (VAS) cam5


gnomonic
Videoer
• Gnomonisk
• Gnomonisk med koordinater
• Original
• Original med koordinater
Bilder
• Gnomonisk
• Gnomonisk med koordinater
• Original
• Original med koordinater
Tekstfiler
• Deteksjon
• Observasjon
• Koordinater
• Logg
Lysstyrke