Meteor über Kiruna 2026-02-03 19:48:33 UTC
Die Karte zeigt die Peilungen für den Meteor. Die helleren Linien zeigen die Richtungen von den Beobachtungsorten beim Erscheinen des Meteors, und die dunkleren Linien, wo er zuletzt gesehen wurde. Der blaue Pfeil zeigt die sichtbare Bahn des Meteors.
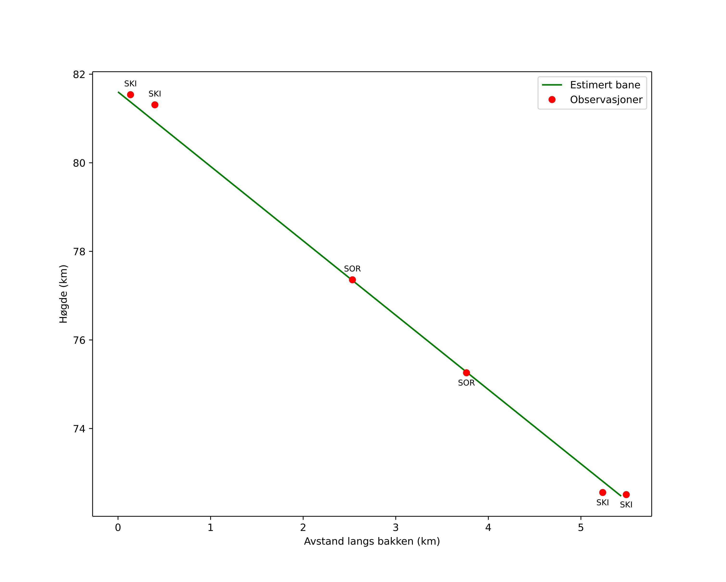
Atmosphärische Bahn des Meteors:
| Anfangshöhe: | 81,6 km |
| Endhöhe: | 72,5 km |
| Startposition: | 68,601N 20,816E |
| Endposition: | 68,598N 20,949E |
| Richtung: | 92,7° |
| Neigungswinkel: | 59,2° |
| Eintrittsgeschwindigkeit: | 9,0 km/s |
|
|