🇳🇴 🇬🇧 🇩🇪 🇨🇿 🇫🇮

Meteor, poloha: Kiruna 2026-02-03 19:48:33 UTC

Soubor KML  |  Interaktivní mapa

Mapa zobrazuje dráhy meteoru. Světlejší čáry ukazují směry od pozorovacích stanic při objevení se meteoru a tmavší čáry, kde byl naposledy viděn. Modrá šipka značí viditelnou dráhu meteoru.

static map
height profile
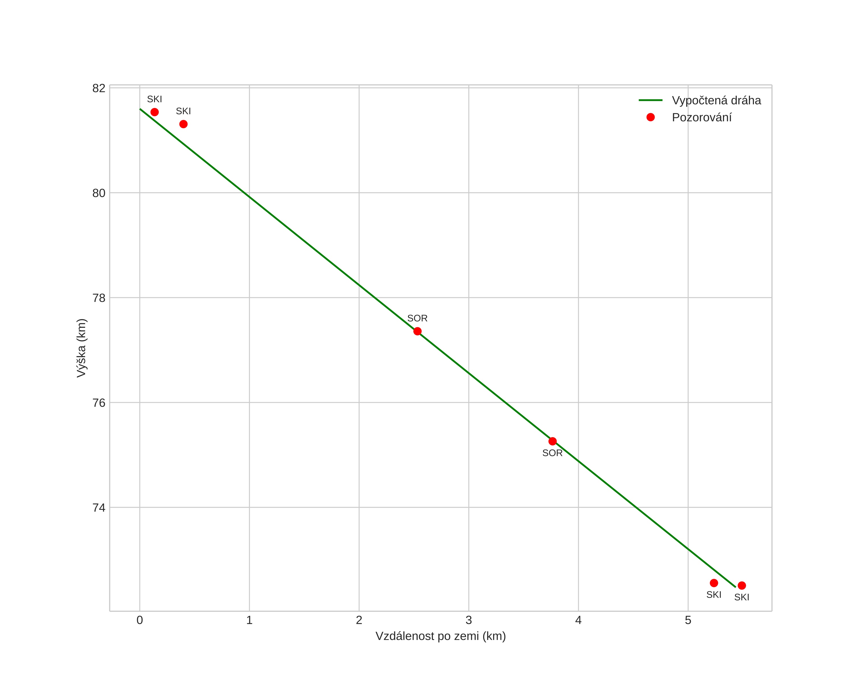
Atmosférická dráha meteoru:
Počáteční výška: 81,6 km
Konečná výška: 72,5 km
Počáteční poloha: 68,601N 20,816E
Konečná poloha: 68,598N 20,949E
Směr: 92,7°
Sklon: 59,2°
Vstupní rychlost: 9,0 km/s
position vs time
speed and acceleration