🇳🇴 🇬🇧 🇩🇪 🇨🇿 🇫🇮

Meteor over Sveg 2026-02-03 23:14:15 UTC

KML-fil  |  Interaktivt kart

Kartet viser peilingene for meteoren. De lysere linjene viser retningene fra observasjonsstedene for meteorens tilsynekomst, og de mørkere linjene viser hvor den sist kunne sees. Den blå pila viser meteorens synlige ferd.

static map
height profile
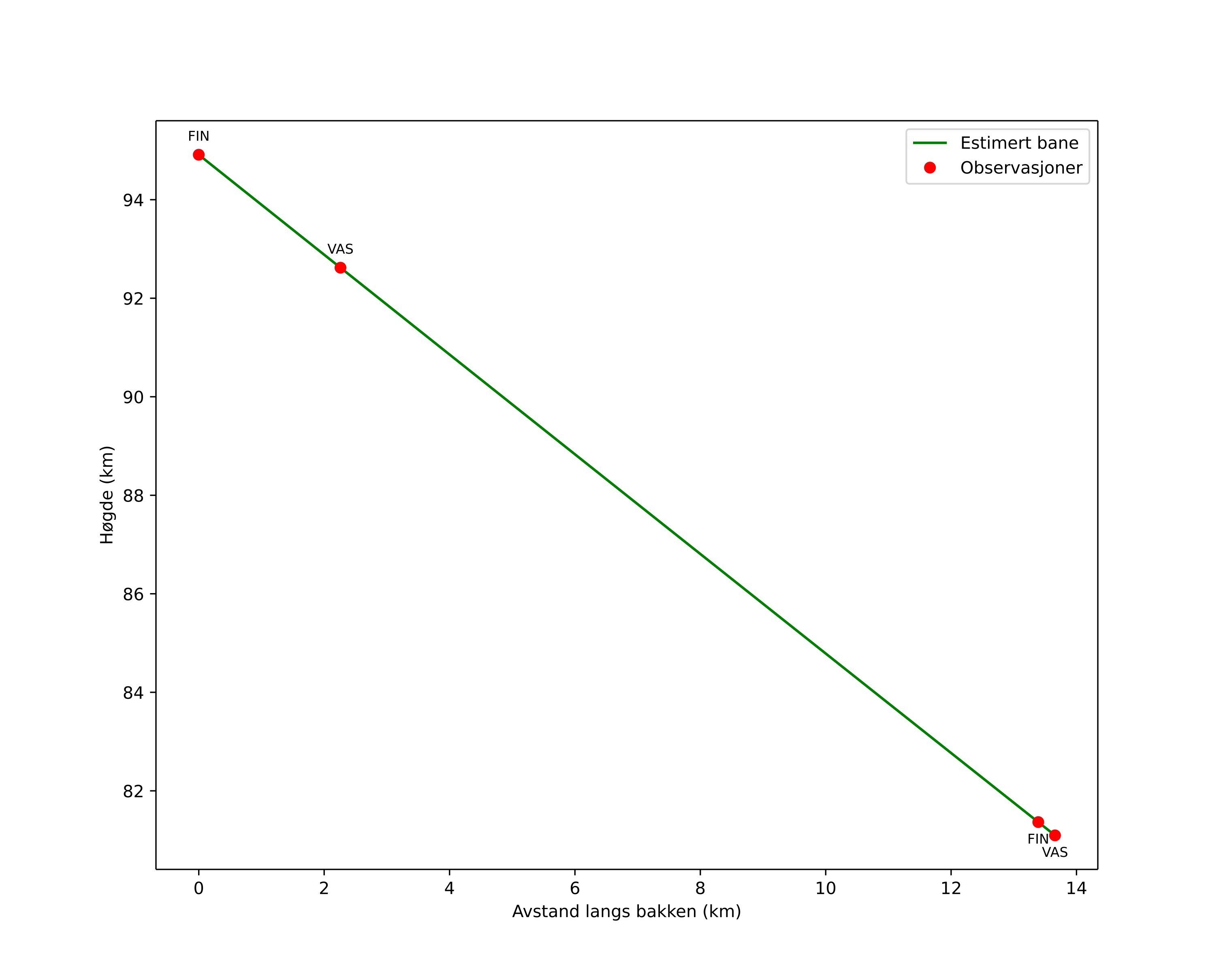
Meteorens atmosfæriske bane:
Starthøgde: 94,9 km
Slutthøgde: 81,1 km
Startposisjon: 61,565N 14,717E
Sluttposisjon: 61,595N 14,466E
Retning: 284,3°
Fallvinkel: 45,3°
Inngangshastighet: 55,1 km/s
Radiantens rektascensjon: 12:45 (191,3°)
Radiantens deklinasjon: 32,6°
Meteorsverm: sporadisk
Meteoroidens baneelement:
Perihelavstand: 0,470 AU
Eksentrisitet: 1,120
Inklinasjon: 88,0°
Knutelengde: 314,8°
Perihelargument: 269,5°
Midlere anomali: -4,5°
Epoke: 2026 FEB 03 23:14:15
orbit plot

Ikke-interaktivt plott | Interaktivt plott

position vs time
speed and acceleration

Finnskogen (FIN) cam2


gnomonic
Videoer
• Gnomonisk
• Gnomonisk med koordinater
• Original
• Original med koordinater
Bilder
• Gnomonisk
• Gnomonisk med koordinater
• Original
• Original med koordinater
Tekstfiler
• Deteksjon
• Observasjon
• Koordinater
• Logg
Lysstyrke

Vasteras (VAS) cam1


gnomonic
Videoer
• Gnomonisk
• Gnomonisk med koordinater
• Original
• Original med koordinater
Bilder
• Gnomonisk
• Gnomonisk med koordinater
• Original
• Original med koordinater
Tekstfiler
• Deteksjon
• Observasjon
• Koordinater
• Logg
Lysstyrke