🇳🇴 🇬🇧 🇩🇪 🇨🇿 🇫🇮

Meteor Svegin yllä 2026-02-03 23:14:15 UTC

KML-tiedosto  |  Interaktiivinen kartta

Kartta näyttää meteorin suuntahavainnot. Vaaleammat viivat näyttävät suunnat havaintoasemilta meteorin ilmestyessä, ja tummemmat viivat näyttävät, missä se viimeksi nähtiin. Sininen nuoli näyttää meteorin näkyvän lennon.

static map
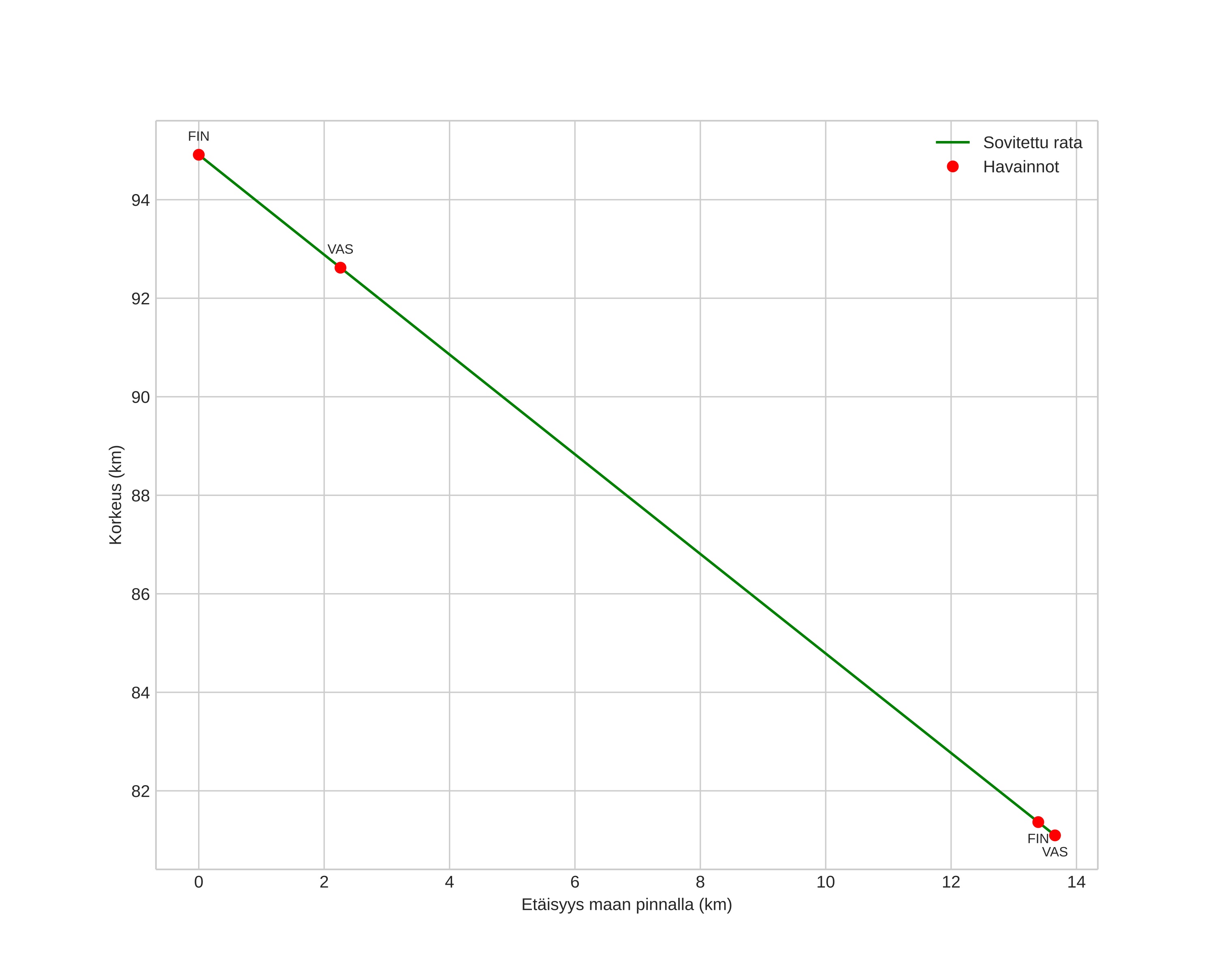
height profile
Meteorin ilmakehärata:
Alkukorkeus: 94,9 km
Loppukorkeus: 81,1 km
Alkupiste: 61,565N 14,717E
Loppupiste: 61,595N 14,466E
Suunta: 284,3°
Kallistuskulma: 45,3°
Tulonopeus: 55,1 km/s
Radiantin R,A,: 12:45 (191,3°)
Radiantin Dekl,: 32,6°
Meteoriparvi: Sporadinen
Meteoroidin rataelementit:
Perihelietäisyys: 0,470 AU
Eksentrisyys: 1,120
Inklinaatio: 88,0°
Nousevan solmun pituus: 314,8°
Perihelin argumentti: 269,5°
Keskianomalia: -4,5°
Epookki: 2026 FEB 03 23:14:15
orbit plot

Ei-interaktiivinen kuvaaja | Interaktiivinen kuvaaja

position vs time
speed and acceleration

Finnskogen (FIN) cam2


gnomonic
Videot:
• Gnomoninen
• Gnomoninen koordinaateilla
• Alkuperäinen
• Alkuperäinen koordinaateilla
Kuvat:
• Gnomoninen
• Gnomoninen koordinaateilla
• Alkuperäinen
• Alkuperäinen koordinaateilla
Tekstitiedostot:
• Havaintoraportti
• Observaatio
• Koordinaatit
• Loki
Kirkkaus

Vasteras (VAS) cam1


gnomonic
Videot:
• Gnomoninen
• Gnomoninen koordinaateilla
• Alkuperäinen
• Alkuperäinen koordinaateilla
Kuvat:
• Gnomoninen
• Gnomoninen koordinaateilla
• Alkuperäinen
• Alkuperäinen koordinaateilla
Tekstitiedostot:
• Havaintoraportti
• Observaatio
• Koordinaatit
• Loki
Kirkkaus