🇳🇴 🇬🇧 🇩🇪 🇨🇿 🇫🇮

Meteor Dejen yllä 2026-02-04 01:56:36 UTC

KML-tiedosto  |  Interaktiivinen kartta

Kartta näyttää meteorin suuntahavainnot. Vaaleammat viivat näyttävät suunnat havaintoasemilta meteorin ilmestyessä, ja tummemmat viivat näyttävät, missä se viimeksi nähtiin. Sininen nuoli näyttää meteorin näkyvän lennon.

static map
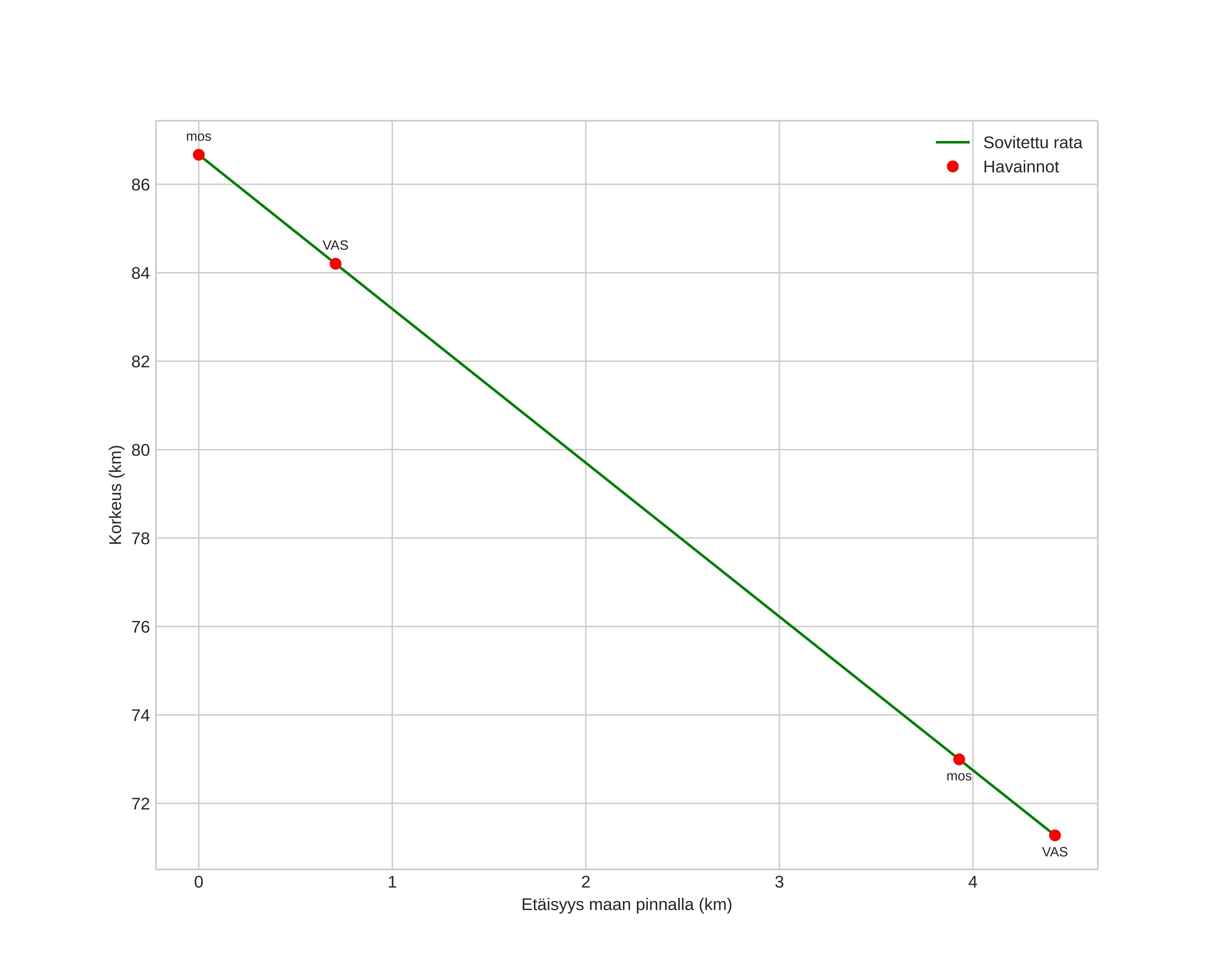
height profile
Meteorin ilmakehärata:
Alkukorkeus: 86,7 km
Loppukorkeus: 71,3 km
Alkupiste: 59,708N 13,452E
Loppupiste: 59,730N 13,387E
Suunta: 304,0°
Kallistuskulma: 74,0°
Tulonopeus: 42,3 km/s
Radiantin R,A,: 13:06 (196,5°)
Radiantin Dekl,: 48,6°
Meteoriparvi: Sporadinen
Meteoroidin rataelementit:
Perihelietäisyys: 0,696 AU
Eksentrisyys: 0,903
Inklinaatio: 63,5°
Nousevan solmun pituus: 314,9°
Perihelin argumentti: 247,6°
Keskianomalia: 358,1°
Epookki: 2026 FEB 04 01:56:36
orbit plot

Ei-interaktiivinen kuvaaja | Interaktiivinen kuvaaja

position vs time
speed and acceleration

Moss (mos) cam3


gnomonic
Videot:
• Gnomoninen
• Gnomoninen koordinaateilla
• Alkuperäinen
• Alkuperäinen koordinaateilla
Kuvat:
• Gnomoninen
• Gnomoninen koordinaateilla
• Alkuperäinen
• Alkuperäinen koordinaateilla
Tekstitiedostot:
• Havaintoraportti
• Observaatio
• Koordinaatit
• Loki
Kirkkaus

Vasteras (VAS) cam5


gnomonic
Videot:
• Gnomoninen
• Gnomoninen koordinaateilla
• Alkuperäinen
• Alkuperäinen koordinaateilla
Kuvat:
• Gnomoninen
• Gnomoninen koordinaateilla
• Alkuperäinen
• Alkuperäinen koordinaateilla
Tekstitiedostot:
• Havaintoraportti
• Observaatio
• Koordinaatit
• Loki
Kirkkaus