🇳🇴 🇬🇧 🇩🇪 🇨🇿 🇫🇮

Meteor Vålerin yllä 2026-02-06 05:51:32 UTC

KML-tiedosto  |  Interaktiivinen kartta

Kartta näyttää meteorin suuntahavainnot. Vaaleammat viivat näyttävät suunnat havaintoasemilta meteorin ilmestyessä, ja tummemmat viivat näyttävät, missä se viimeksi nähtiin. Sininen nuoli näyttää meteorin näkyvän lennon.

static map
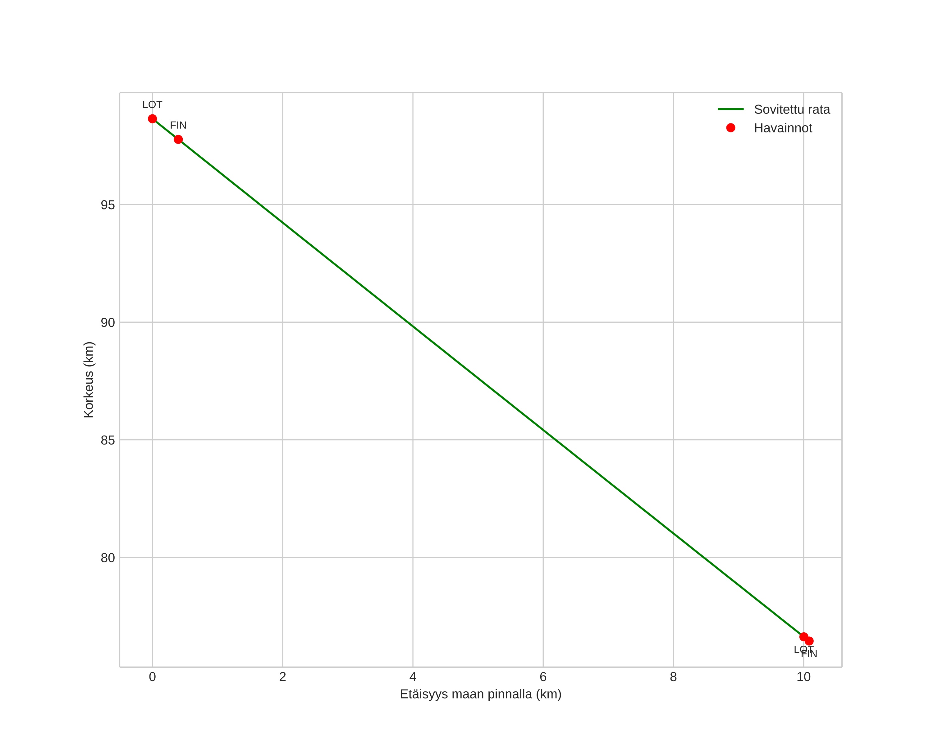
height profile
Meteorin ilmakehärata:
Alkukorkeus: 98,6 km
Loppukorkeus: 76,4 km
Alkupiste: 60,636N 11,780E
Loppupiste: 60,727N 11,774E
Suunta: 358,2°
Kallistuskulma: 65,6°
Tulonopeus: 56,0 km/s
Radiantin R,A,: 15:45 (236,3°)
Radiantin Dekl,: 35,9°
Meteoriparvi: Sporadinen
Meteoroidin rataelementit:
Perihelietäisyys: 0,981 AU
Eksentrisyys: 1,195
Inklinaatio: 92,7°
Nousevan solmun pituus: 317,1°
Perihelin argumentti: 188,0°
Keskianomalia: -0,5°
Epookki: 2026 FEB 06 05:51:32
orbit plot

Ei-interaktiivinen kuvaaja | Interaktiivinen kuvaaja

position vs time
speed and acceleration

Finnskogen (FIN) cam7


gnomonic
Videot:
• Gnomoninen
• Gnomoninen koordinaateilla
• Alkuperäinen
• Alkuperäinen koordinaateilla
Kuvat:
• Gnomoninen
• Gnomoninen koordinaateilla
• Alkuperäinen
• Alkuperäinen koordinaateilla
Tekstitiedostot:
• Havaintoraportti
• Observaatio
• Koordinaatit
• Loki
Kirkkaus

Loten (LOT) cam7


gnomonic
Videot:
• Gnomoninen
• Gnomoninen koordinaateilla
• Alkuperäinen
• Alkuperäinen koordinaateilla
Kuvat:
• Gnomoninen
• Gnomoninen koordinaateilla
• Alkuperäinen
• Alkuperäinen koordinaateilla
Tekstitiedostot:
• Havaintoraportti
• Observaatio
• Koordinaatit
• Loki
Kirkkaus