🇳🇴 🇬🇧 🇩🇪 🇨🇿 🇫🇮

Meteor over Charlottenberg 2026-02-07 23:37:12 UTC

KML-fil  |  Interaktivt kart

Kartet viser peilingene for meteoren. De lysere linjene viser retningene fra observasjonsstedene for meteorens tilsynekomst, og de mørkere linjene viser hvor den sist kunne sees. Den blå pila viser meteorens synlige ferd.

static map
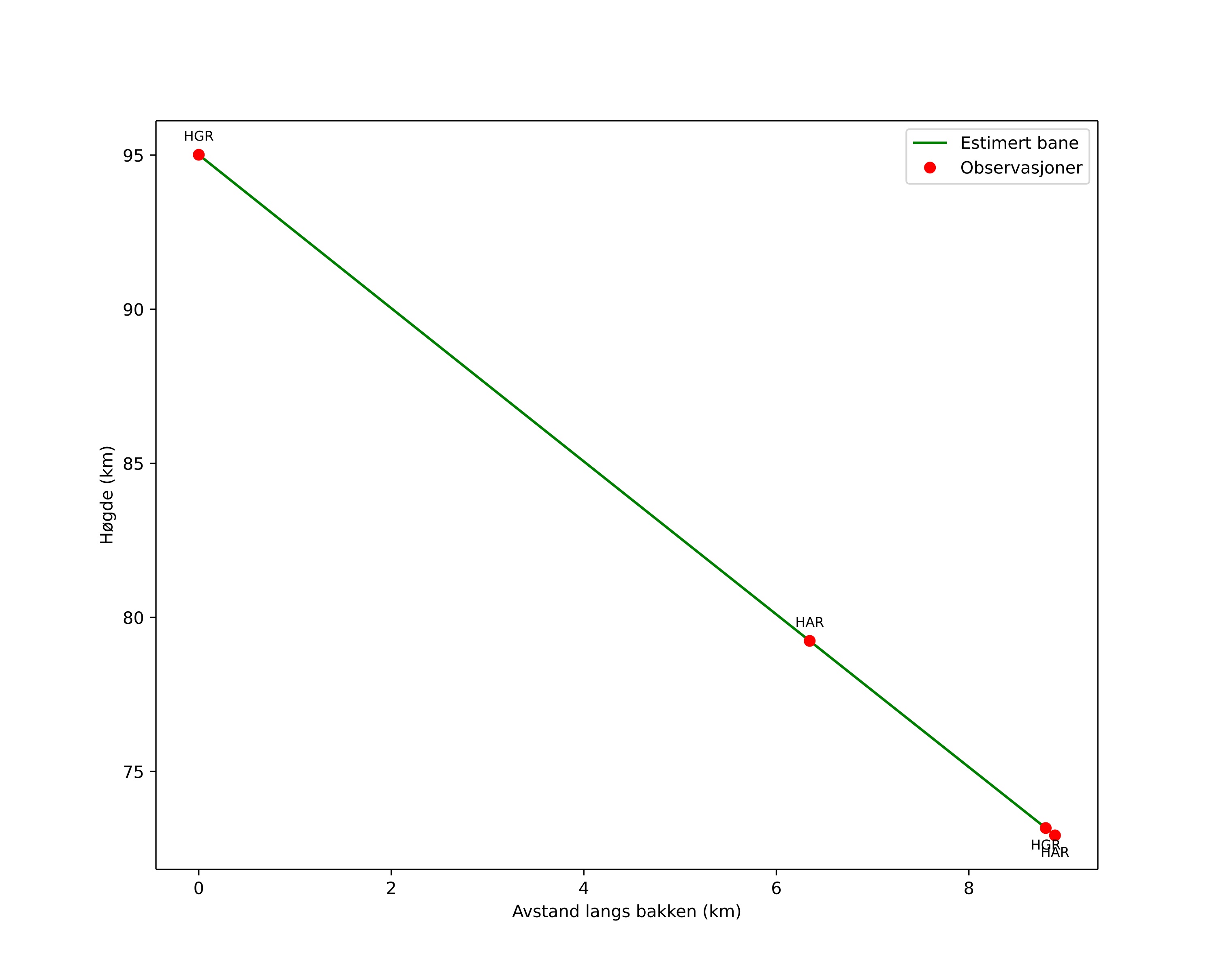
height profile
Meteorens atmosfæriske bane:
Starthøgde: 95,0 km
Slutthøgde: 72,9 km
Startposisjon: 60,140N 12,380E
Sluttposisjon: 60,060N 12,382E
Retning: 179,1°
Fallvinkel: 68,1°
Inngangshastighet: 16,5 km/s
Radiantens rektascensjon: 08:29 (127,4°)
Radiantens deklinasjon: 85,2°
Meteorsverm: sporadisk
Meteoroidens baneelement:
Perihelavstand: 0,968 AU
Eksentrisitet: 0,439
Inklinasjon: 17,6°
Knutelengde: 318,8°
Perihelargument: 200,2°
Midlere anomali: 352,8°
Epoke: 2026 FEB 07 23:37:12
orbit plot

Ikke-interaktivt plott | Interaktivt plott

position vs time
speed and acceleration

Hagar (HGR) cam4


gnomonic
Videoer
• Gnomonisk
• Gnomonisk med koordinater
• Original
• Original med koordinater
Bilder
• Gnomonisk
• Gnomonisk med koordinater
• Original
• Original med koordinater
Tekstfiler
• Deteksjon
• Observasjon
• Koordinater
• Logg
Lysstyrke

Harestua (HAR) cam3


gnomonic
Videoer
• Gnomonisk
• Gnomonisk med koordinater
• Original
• Original med koordinater
Bilder
• Gnomonisk
• Gnomonisk med koordinater
• Original
• Original med koordinater
Tekstfiler
• Deteksjon
• Observasjon
• Koordinater
• Logg
Lysstyrke