🇳🇴 🇬🇧 🇩🇪 🇨🇿 🇫🇮

Meteor Charlottenbergin yllä 2026-02-07 23:37:12 UTC

KML-tiedosto  |  Interaktiivinen kartta

Kartta näyttää meteorin suuntahavainnot. Vaaleammat viivat näyttävät suunnat havaintoasemilta meteorin ilmestyessä, ja tummemmat viivat näyttävät, missä se viimeksi nähtiin. Sininen nuoli näyttää meteorin näkyvän lennon.

static map
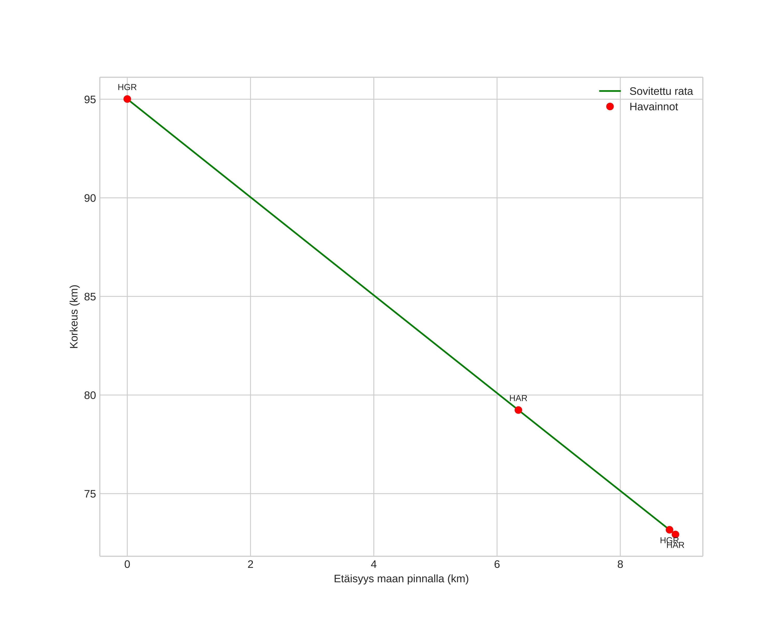
height profile
Meteorin ilmakehärata:
Alkukorkeus: 95,0 km
Loppukorkeus: 72,9 km
Alkupiste: 60,140N 12,380E
Loppupiste: 60,060N 12,382E
Suunta: 179,1°
Kallistuskulma: 68,1°
Tulonopeus: 16,5 km/s
Radiantin R,A,: 08:29 (127,4°)
Radiantin Dekl,: 85,2°
Meteoriparvi: Sporadinen
Meteoroidin rataelementit:
Perihelietäisyys: 0,968 AU
Eksentrisyys: 0,439
Inklinaatio: 17,6°
Nousevan solmun pituus: 318,8°
Perihelin argumentti: 200,2°
Keskianomalia: 352,8°
Epookki: 2026 FEB 07 23:37:12
orbit plot

Ei-interaktiivinen kuvaaja | Interaktiivinen kuvaaja

position vs time
speed and acceleration

Hagar (HGR) cam4


gnomonic
Videot:
• Gnomoninen
• Gnomoninen koordinaateilla
• Alkuperäinen
• Alkuperäinen koordinaateilla
Kuvat:
• Gnomoninen
• Gnomoninen koordinaateilla
• Alkuperäinen
• Alkuperäinen koordinaateilla
Tekstitiedostot:
• Havaintoraportti
• Observaatio
• Koordinaatit
• Loki
Kirkkaus

Harestua (HAR) cam3


gnomonic
Videot:
• Gnomoninen
• Gnomoninen koordinaateilla
• Alkuperäinen
• Alkuperäinen koordinaateilla
Kuvat:
• Gnomoninen
• Gnomoninen koordinaateilla
• Alkuperäinen
• Alkuperäinen koordinaateilla
Tekstitiedostot:
• Havaintoraportti
• Observaatio
• Koordinaatit
• Loki
Kirkkaus