🇳🇴 🇬🇧 🇩🇪 🇨🇿 🇫🇮

Meteor over Skjærhalden 2026-02-08 00:09:09 UTC

KML-fil  |  Interaktivt kart

Kartet viser peilingene for meteoren. De lysere linjene viser retningene fra observasjonsstedene for meteorens tilsynekomst, og de mørkere linjene viser hvor den sist kunne sees. Den blå pila viser meteorens synlige ferd.

static map
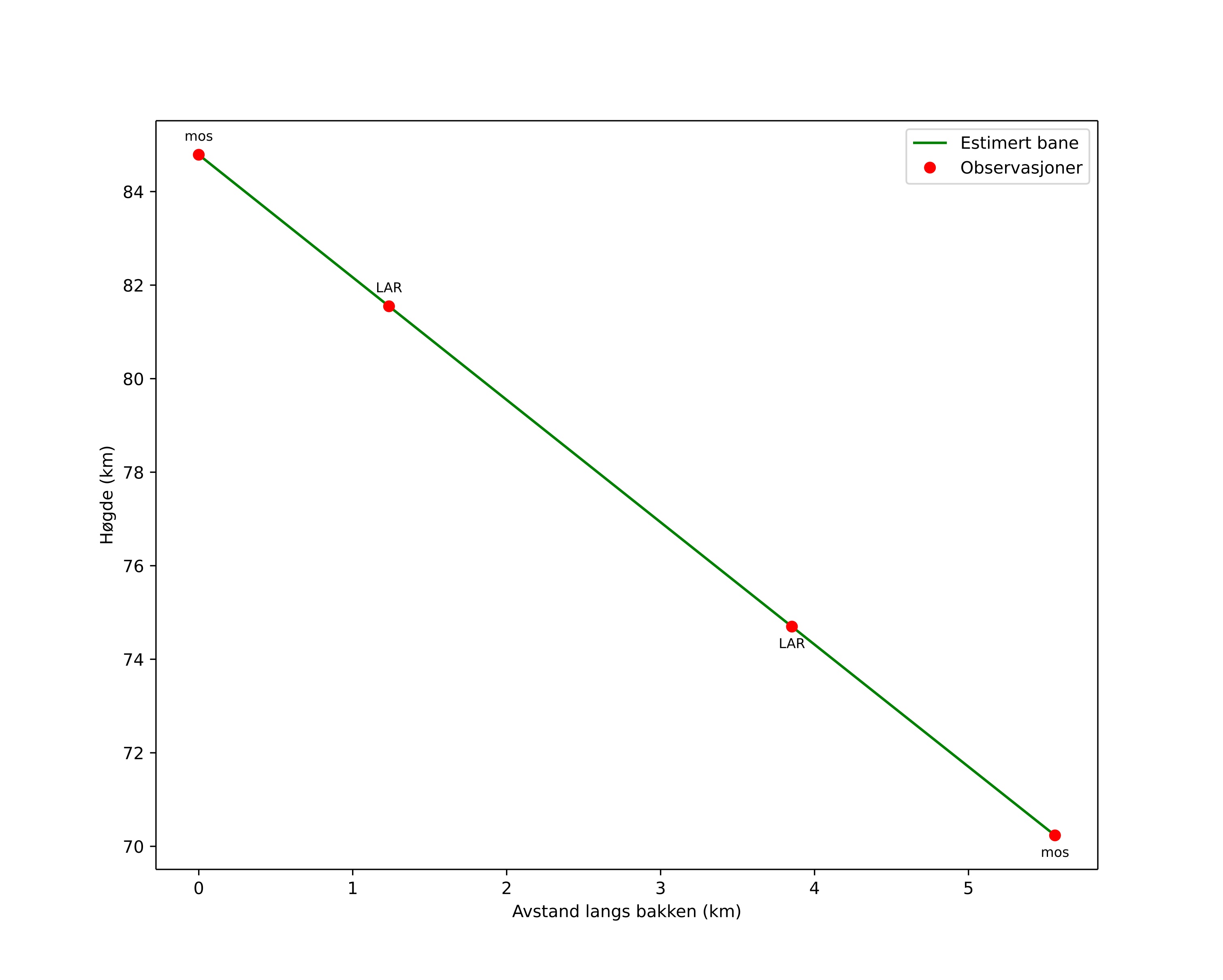
height profile
Meteorens atmosfæriske bane:
Starthøgde: 84,8 km
Slutthøgde: 70,2 km
Startposisjon: 58,868N 10,882E
Sluttposisjon: 58,918N 10,899E
Retning: 10,3°
Fallvinkel: 69,1°
Inngangshastighet: 20,4 km/s
Radiantens rektascensjon: 09:39 (145,0°)
Radiantens deklinasjon: 36,3°
Meteorsverm: sporadisk
Meteoroidens baneelement:
Perihelavstand: 0,710 AU
Eksentrisitet: 0,569
Inklinasjon: 11,1°
Knutelengde: 318,9°
Perihelargument: 256,9°
Midlere anomali: 337,9°
Epoke: 2026 FEB 08 00:09:09
orbit plot

Ikke-interaktivt plott | Interaktivt plott

position vs time
speed and acceleration

Larvik (LAR) cam7


gnomonic
Videoer
• Gnomonisk
• Gnomonisk med koordinater
• Original
• Original med koordinater
Bilder
• Gnomonisk
• Gnomonisk med koordinater
• Original
• Original med koordinater
Tekstfiler
• Deteksjon
• Observasjon
• Koordinater
• Logg
Lysstyrke

Moss (mos) cam7


gnomonic
Videoer
• Gnomonisk
• Gnomonisk med koordinater
• Original
• Original med koordinater
Bilder
• Gnomonisk
• Gnomonisk med koordinater
• Original
• Original med koordinater
Tekstfiler
• Deteksjon
• Observasjon
• Koordinater
• Logg
Lysstyrke