🇳🇴 🇬🇧 🇩🇪 🇨🇿 🇫🇮

Meteor Blakstadin yllä 2026-02-08 00:30:05 UTC

KML-tiedosto  |  Interaktiivinen kartta

Kartta näyttää meteorin suuntahavainnot. Vaaleammat viivat näyttävät suunnat havaintoasemilta meteorin ilmestyessä, ja tummemmat viivat näyttävät, missä se viimeksi nähtiin. Sininen nuoli näyttää meteorin näkyvän lennon.

static map
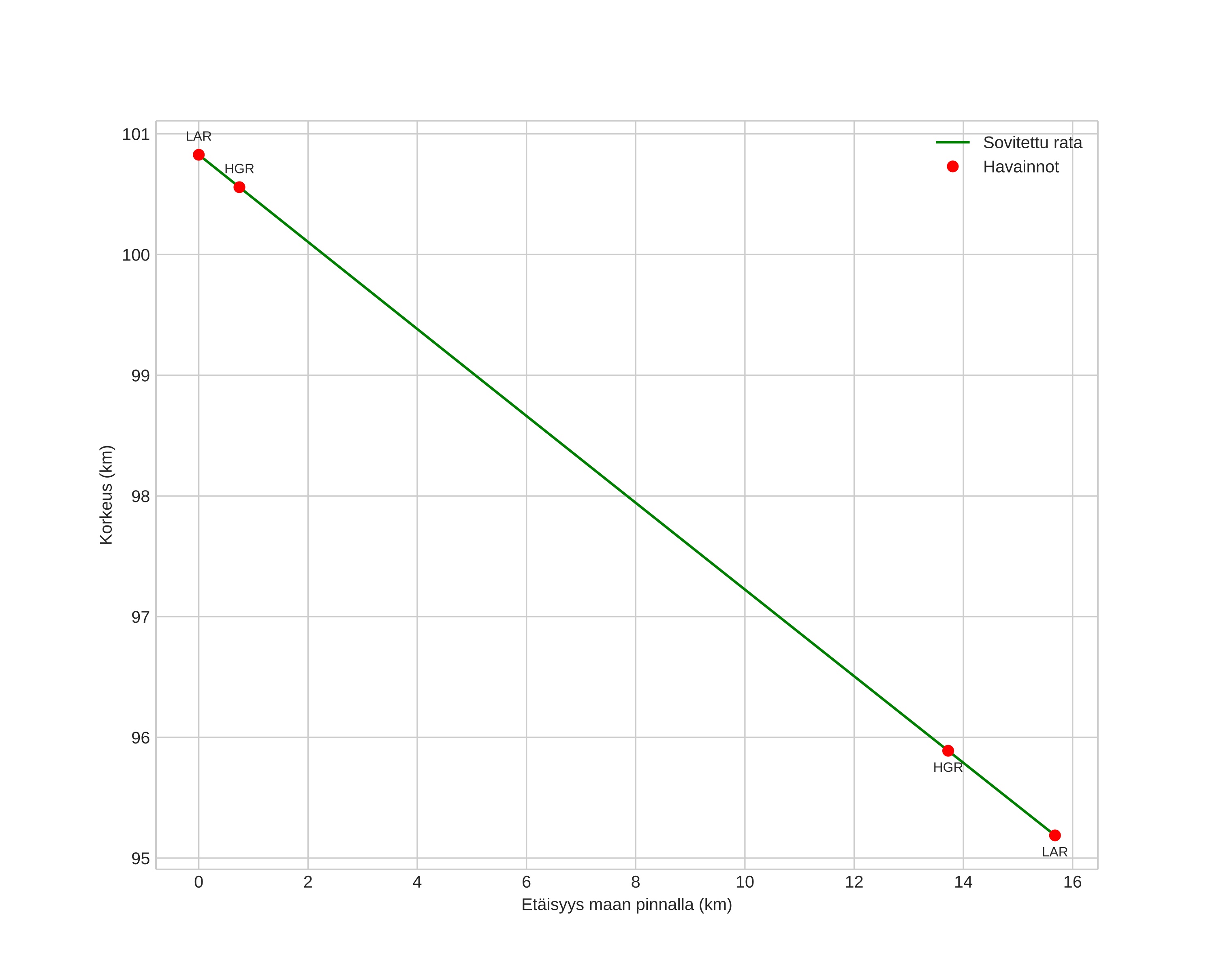
height profile
Meteorin ilmakehärata:
Alkukorkeus: 100,8 km
Loppukorkeus: 95,2 km
Alkupiste: 58,445N 8,869E
Loppupiste: 58,439N 8,600E
Suunta: 267,8°
Kallistuskulma: 19,7°
Tulonopeus: 63,2 km/s
Radiantin R,A,: 15:42 (235,7°)
Radiantin Dekl,: 17,4°
Meteoriparvi: Sporadinen
Meteoroidin rataelementit:
Perihelietäisyys: 0,986 AU
Eksentrisyys: 0,922
Inklinaatio: 118,7°
Nousevan solmun pituus: 318,9°
Perihelin argumentti: 180,6°
Keskianomalia: 360,0°
Epookki: 2026 FEB 08 00:30:05
orbit plot

Ei-interaktiivinen kuvaaja | Interaktiivinen kuvaaja

position vs time
speed and acceleration

Hagar (HGR) cam5


gnomonic
Videot:
• Gnomoninen
• Gnomoninen koordinaateilla
• Alkuperäinen
• Alkuperäinen koordinaateilla
Kuvat:
• Gnomoninen
• Gnomoninen koordinaateilla
• Alkuperäinen
• Alkuperäinen koordinaateilla
Tekstitiedostot:
• Havaintoraportti
• Observaatio
• Koordinaatit
• Loki
Kirkkaus

Larvik (LAR) cam4


gnomonic
Videot:
• Gnomoninen
• Gnomoninen koordinaateilla
• Alkuperäinen
• Alkuperäinen koordinaateilla
Kuvat:
• Gnomoninen
• Gnomoninen koordinaateilla
• Alkuperäinen
• Alkuperäinen koordinaateilla
Tekstitiedostot:
• Havaintoraportti
• Observaatio
• Koordinaatit
• Loki
Kirkkaus