🇳🇴 🇬🇧 🇩🇪 🇨🇿 🇫🇮

Meteor, poloha: Innbygda 2026-02-09 23:07:05 UTC

Soubor KML  |  Interaktivní mapa

Mapa zobrazuje dráhy meteoru. Světlejší čáry ukazují směry od pozorovacích stanic při objevení se meteoru a tmavší čáry, kde byl naposledy viděn. Modrá šipka značí viditelnou dráhu meteoru.

static map
height profile
wind profile
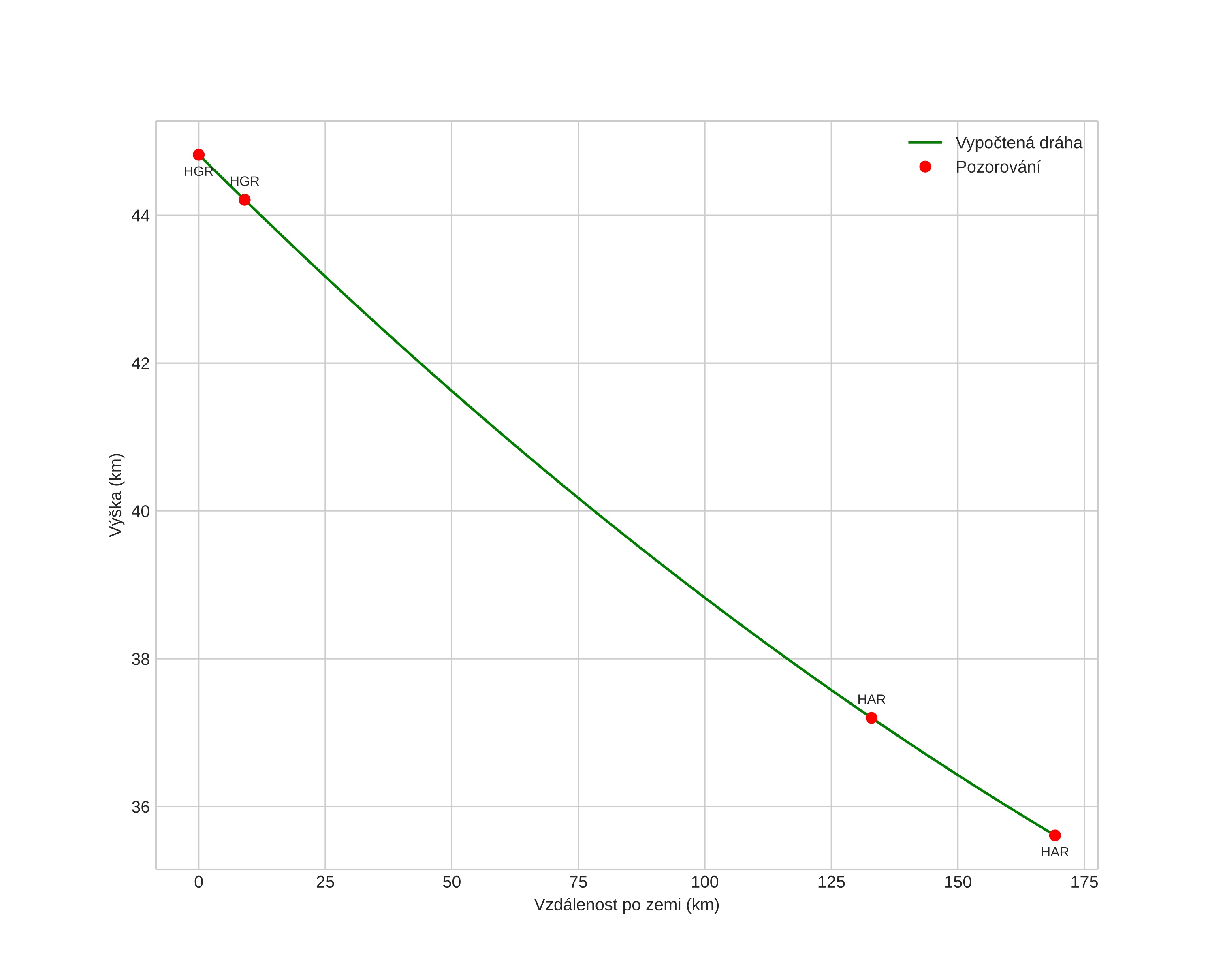
Atmosférická dráha meteoru:
Počáteční výška: 44,8 km
Konečná výška: 35,6 km
Počáteční poloha: 60,504N 10,002E
Konečná poloha: 61,352N 12,602E
Směr: 55,0°
Sklon: 3,1°
position vs time
speed and acceleration