🇳🇴 🇬🇧 🇩🇪 🇨🇿 🇫🇮

Meteor, poloha: Storsteinnes 2026-02-11 22:18:41 UTC

Soubor KML  |  InteraktivnĂ­ mapa

Mapa zobrazuje dráhy meteoru. Světlejší čáry ukazují směry od pozorovacích stanic při objevení se meteoru a tmavší čáry, kde byl naposledy viděn. Modrá šipka značí viditelnou dráhu meteoru.

static map
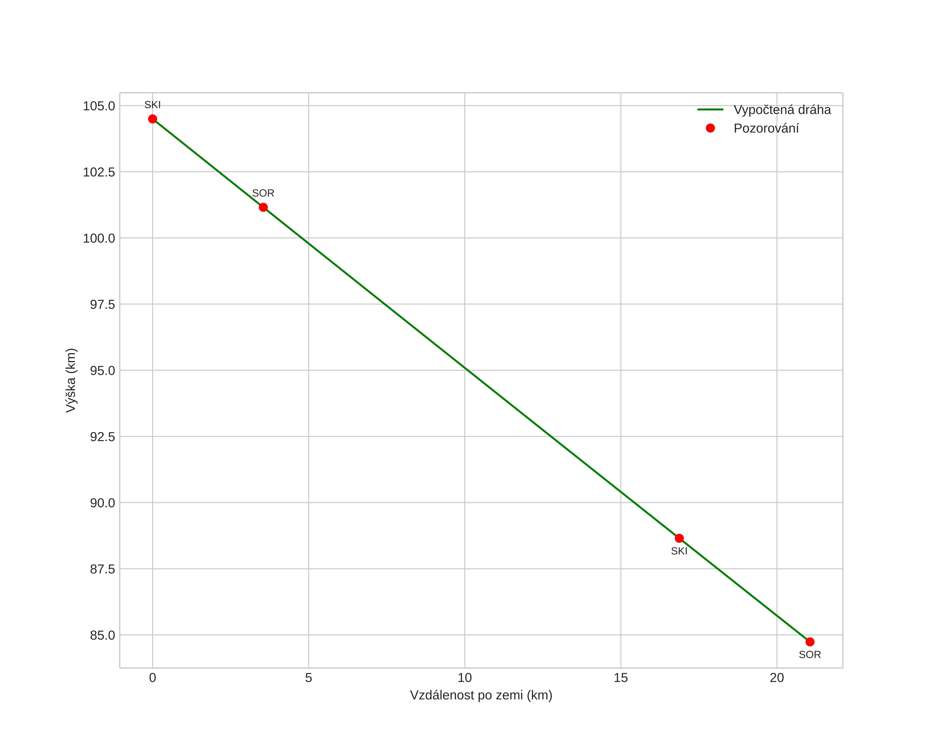
height profile
Atmosférická dráha meteoru:
Počáteční výška: 104,5 km
Konečná výška: 84,7 km
Počáteční poloha: 69,023N 19,519E
Konečná poloha: 69,212N 19,485E
Směr: 356,3°
Sklon: 43,2°
VstupnĂ­ rychlost: 26,5 km/s
Rektascenze radiantu: 09:13 (138,3°)
Deklinace radiantu: 20,0°
MeteorickĂ˝ roj: sporadickĂ˝
Elementy dráhy meteoroidu:
Vzdálenost v periheliu: 0,649 AU
Excentricita: 0,912
Sklon dráhy: 2,6°
Délka vzestupného uzlu: 322,8°
Argument perihelia: 253,6°
Střední anomálie: 358,1°
Epocha: 2026 FEB 11 22:18:41
orbit plot

NeinteraktivnĂ­ graf | InteraktivnĂ­ graf

position vs time
speed and acceleration

Skibotn (SKI) cam7


gnomonic
Videa
• Gnomonická
• Gnomonická se souřadnicemi
• Původní
• Původní se souřadnicemi
Obrázky
• Gnomonická
• Gnomonická se souřadnicemi
• Původní
• Původní se souřadnicemi
Textové soubory
• Detekce
• Pozorování
• Souřadnice
• Protokol
Jasnost

Sorreisa (SOR) cam6


gnomonic
Videa
• Gnomonická
• Gnomonická se souřadnicemi
• Původní
• Původní se souřadnicemi
Obrázky
• Gnomonická
• Gnomonická se souřadnicemi
• Původní
• Původní se souřadnicemi
Textové soubory
• Detekce
• Pozorování
• Souřadnice
• Protokol
Jasnost