🇳🇴 🇬🇧 🇩🇪 🇨🇿 🇫🇮

Meteor Sandefjordin yllä 2026-02-12 03:05:40 UTC

KML-tiedosto  |  Interaktiivinen kartta

Kartta näyttää meteorin suuntahavainnot. Vaaleammat viivat näyttävät suunnat havaintoasemilta meteorin ilmestyessä, ja tummemmat viivat näyttävät, missä se viimeksi nähtiin. Sininen nuoli näyttää meteorin näkyvän lennon.

static map
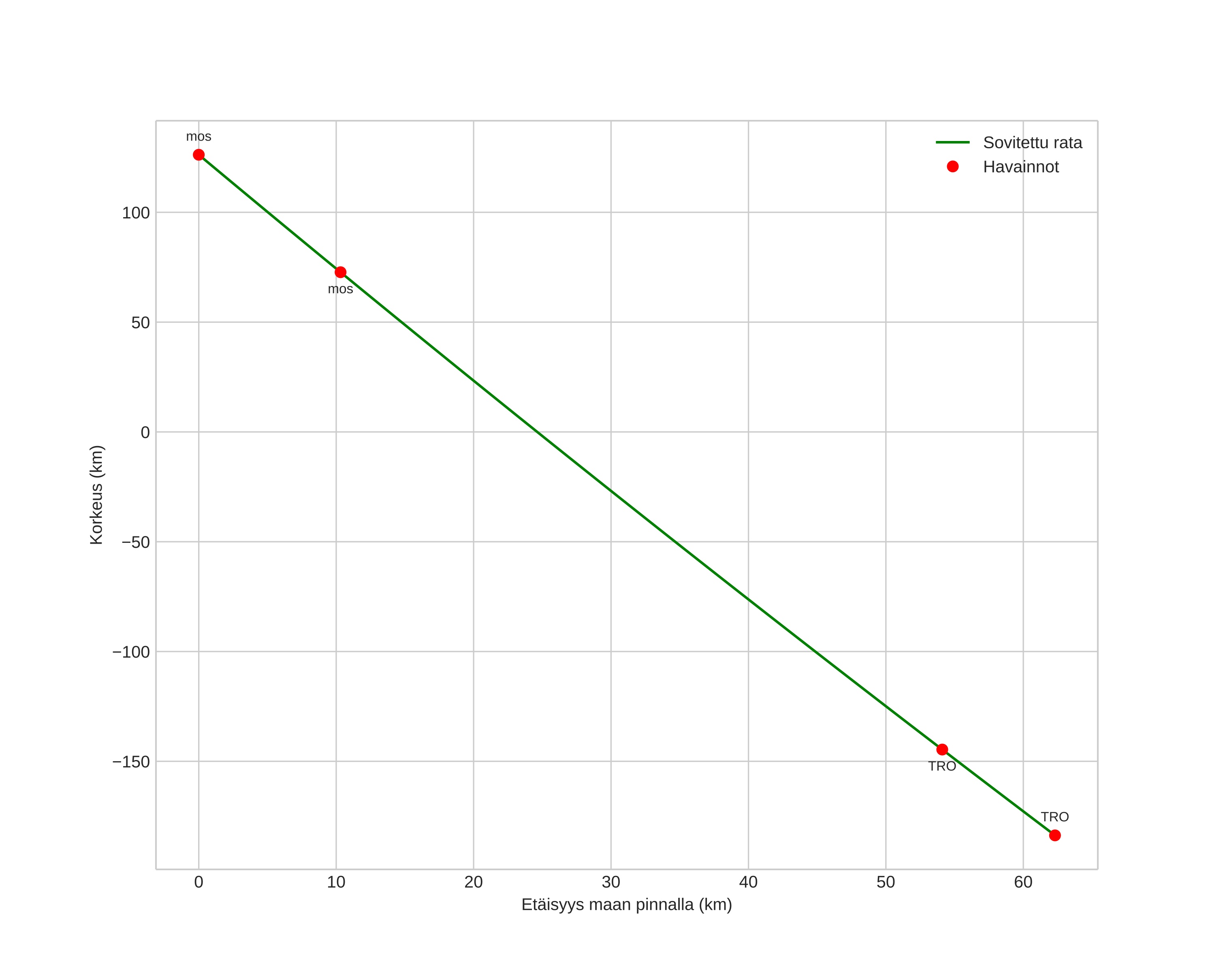
height profile
Meteorin ilmakehärata:
Alkukorkeus: 126,2 km
Loppukorkeus: -183,7 km
Alkupiste: 59,412N 9,091E
Loppupiste: 59,246N 10,140E
Suunta: 106,8°
Kallistuskulma: 78,6°
Tulonopeus: 75,1 km/s
Radiantin R,A,: 11:36 (174,1°)
Radiantin Dekl,: 60,7°
Meteoriparvi: Sporadinen
Meteoroidin rataelementit:
Perihelietäisyys: 0,782 AU
Eksentrisyys: 5,141
Inklinaatio: 61,3°
Nousevan solmun pituus: 323,0°
Perihelin argumentti: 221,3°
Keskianomalia: -164,8°
Epookki: 2026 FEB 12 03:05:40
orbit plot

Ei-interaktiivinen kuvaaja | Interaktiivinen kuvaaja

position vs time
speed and acceleration

Moss (mos) cam6


gnomonic
Videot:
• Gnomoninen
• Gnomoninen koordinaateilla
• Alkuperäinen
• Alkuperäinen koordinaateilla
Kuvat:
• Gnomoninen
• Gnomoninen koordinaateilla
• Alkuperäinen
• Alkuperäinen koordinaateilla
Tekstitiedostot:
• Havaintoraportti
• Observaatio
• Koordinaatit
• Loki
Kirkkaus

Trondheim (TRO) cam5


gnomonic
Videot:
• Gnomoninen
• Gnomoninen koordinaateilla
• Alkuperäinen
• Alkuperäinen koordinaateilla
Kuvat:
• Gnomoninen
• Gnomoninen koordinaateilla
• Alkuperäinen
• Alkuperäinen koordinaateilla
Tekstitiedostot:
• Havaintoraportti
• Observaatio
• Koordinaatit
• Loki
Kirkkaus