🇳🇴 🇬🇧 🇩🇪 🇨🇿 🇫🇮

Meteor over Svolvær 2026-02-12 20:30:21 UTC

KML file  |  Interactive map

The map shows the bearings for the meteor. The lighter lines show the directions from the observation sites at the meteor's appearance, and the darker lines show where it was last seen. The blue arrow indicates the visible path of the meteor.

static map
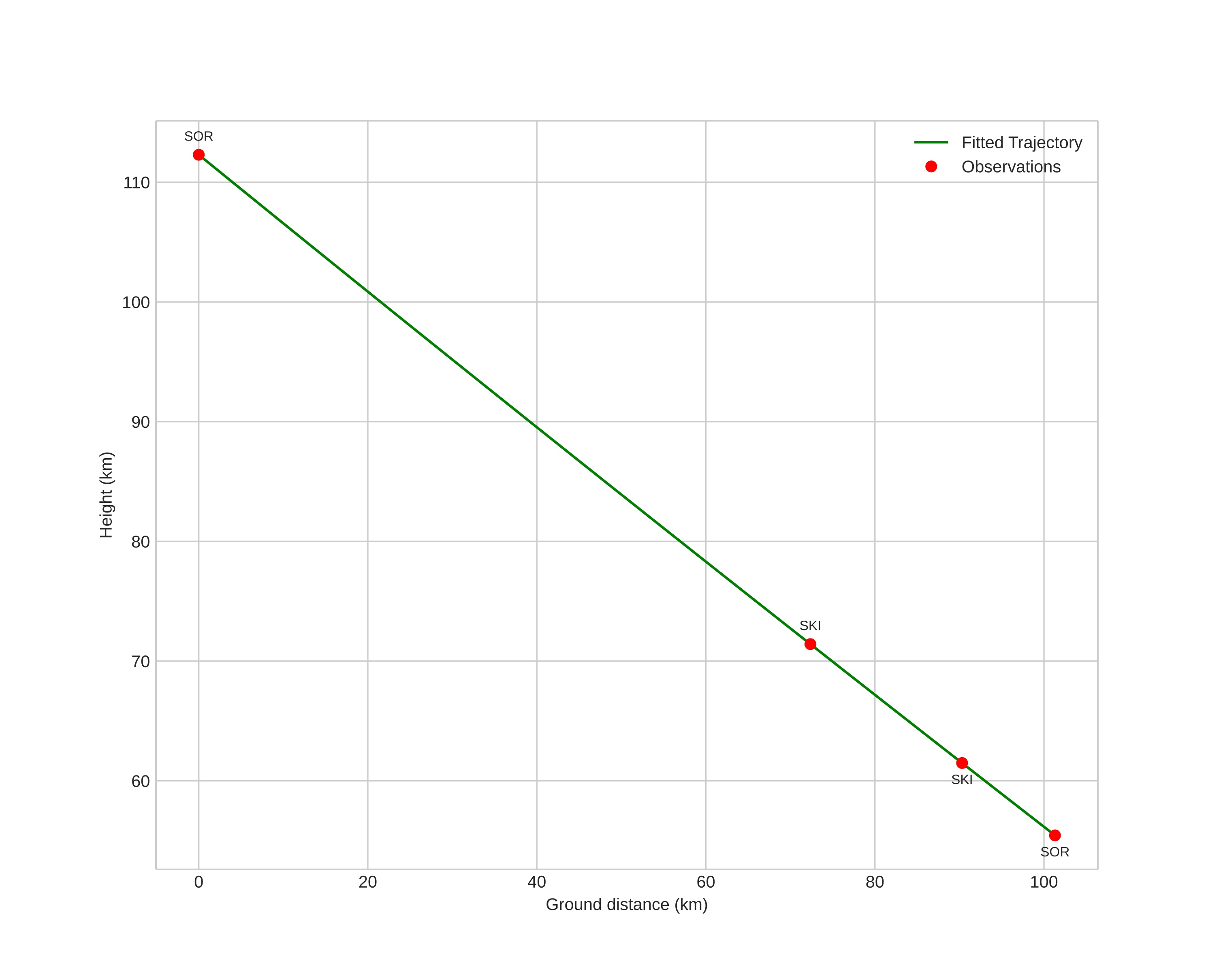
height profile
Meteor's Atmospheric Trajectory:
Start height: 112.3 km
End height: 55.4 km
Start position: 67.535N 12.875E
End position: 68.188N 14.560E
Direction: 43.4°
Inclination angle: 29.3°
Entry speed: 122.4 km/s
Radiant R.A.: 04:20 (65.1°)
Radiant Dec.: 11.9°
Meteor Shower: sporadic
Meteoroid's Orbital Elements:
Perihelion distance: 0.975 AU
Eccentricity: 24.195
Inclination: 7.7°
Long. of Asc. Node: 143.8°
Argument of Perihelion: 9.4°
Mean Anomaly: -210.3°
Epoch: 2026 FEB 12 20:30:21
orbit plot

Non-interactive plot | Interactive plot

position vs time
speed and acceleration

Skibotn (SKI) cam4


gnomonic
Videos
• Gnomonic
• Gnomonic with coordinates
• Original
• Original with coordinates
Images
• Gnomonic
• Gnomonic with coordinates
• Original
• Original with coordinates
Text Files
• Detection
• Observation
• Coordinates
• Log
Brightness

Sorreisa (SOR) cam4


gnomonic
Videos
• Gnomonic
• Gnomonic with coordinates
• Original
• Original with coordinates
Images
• Gnomonic
• Gnomonic with coordinates
• Original
• Original with coordinates
Text Files
• Detection
• Observation
• Coordinates
• Log
Brightness