🇳🇴 🇬🇧 🇩🇪 🇨🇿 🇫🇮

Meteor Åmotin yllä 2026-02-14 05:12:54 UTC

KML-tiedosto  |  Interaktiivinen kartta

Kartta näyttää meteorin suuntahavainnot. Vaaleammat viivat näyttävät suunnat havaintoasemilta meteorin ilmestyessä, ja tummemmat viivat näyttävät, missä se viimeksi nähtiin. Sininen nuoli näyttää meteorin näkyvän lennon.

static map
height profile
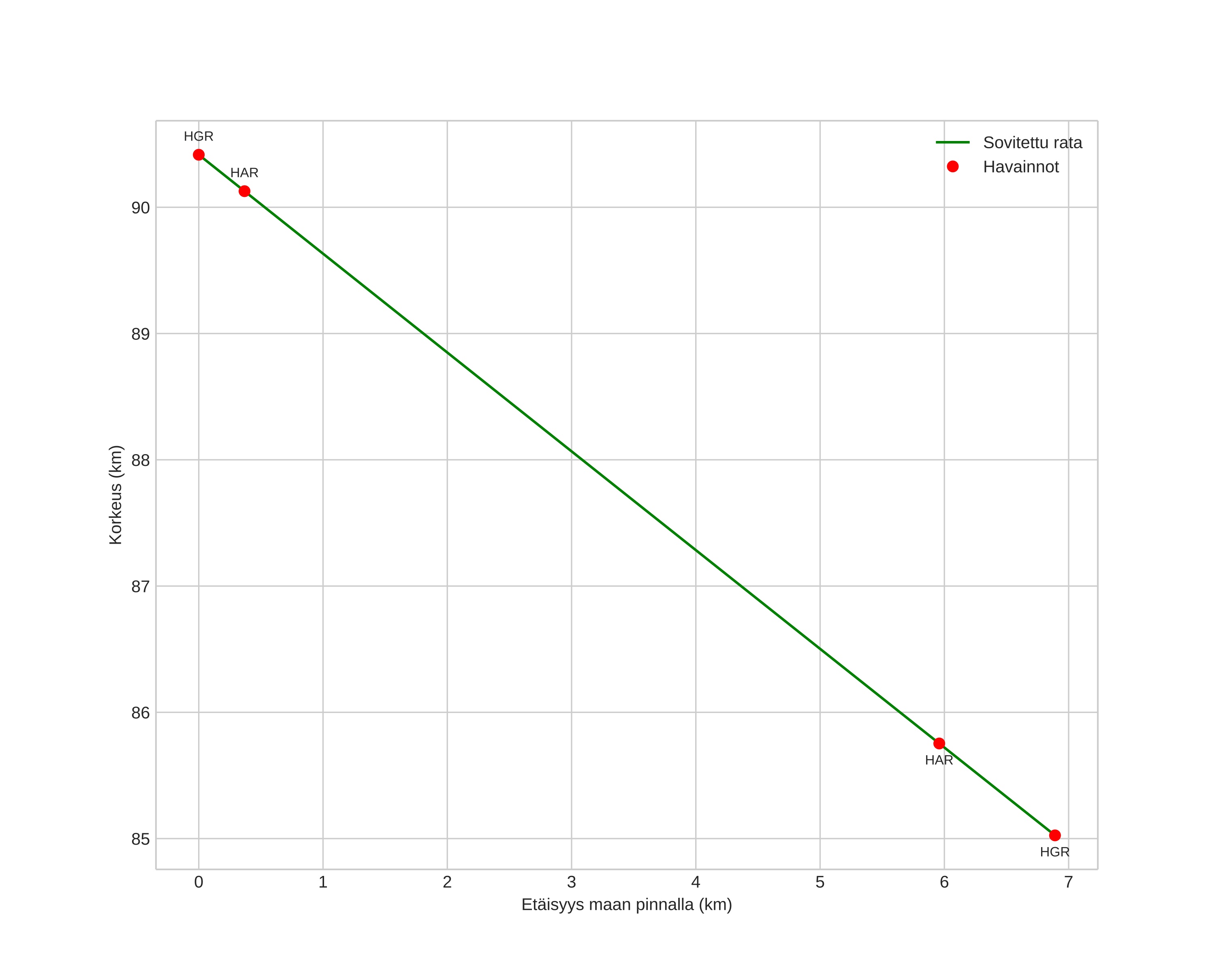
Meteorin ilmakehärata:
Alkukorkeus: 90,4 km
Loppukorkeus: 85,0 km
Alkupiste: 59,826N 7,851E
Loppupiste: 59,799N 7,740E
Suunta: 244,5°
Kallistuskulma: 38,1°
Tulonopeus: 27,4 km/s
Radiantin R,A,: 21:22 (320,7°)
Radiantin Dekl,: 43,0°
Meteoriparvi: Sporadinen
Meteoroidin rataelementit:
Perihelietäisyys: 0,883 AU
Eksentrisyys: 1,035
Inklinaatio: 29,8°
Nousevan solmun pituus: 325,1°
Perihelin argumentti: 142,3°
Keskianomalia: 0,2°
Epookki: 2026 FEB 14 05:12:54
orbit plot

Ei-interaktiivinen kuvaaja | Interaktiivinen kuvaaja

position vs time
speed and acceleration

Hagar (HGR) cam5


gnomonic
Videot:
• Gnomoninen
• Gnomoninen koordinaateilla
• Alkuperäinen
• Alkuperäinen koordinaateilla
Kuvat:
• Gnomoninen
• Gnomoninen koordinaateilla
• Alkuperäinen
• Alkuperäinen koordinaateilla
Tekstitiedostot:
• Havaintoraportti
• Observaatio
• Koordinaatit
• Loki
Kirkkaus

Harestua (HAR) cam4


gnomonic
Videot:
• Gnomoninen
• Gnomoninen koordinaateilla
• Alkuperäinen
• Alkuperäinen koordinaateilla
Kuvat:
• Gnomoninen
• Gnomoninen koordinaateilla
• Alkuperäinen
• Alkuperäinen koordinaateilla
Tekstitiedostot:
• Havaintoraportti
• Observaatio
• Koordinaatit
• Loki
Kirkkaus