🇳🇴 🇬🇧 🇩🇪 🇨🇿 🇫🇮

Meteor over Ulefoss 2026-02-14 20:50:49 UTC

KML-fil  |  Interaktivt kart

Kartet viser peilingene for meteoren. De lysere linjene viser retningene fra observasjonsstedene for meteorens tilsynekomst, og de mørkere linjene viser hvor den sist kunne sees. Den blå pila viser meteorens synlige ferd.

static map
height profile
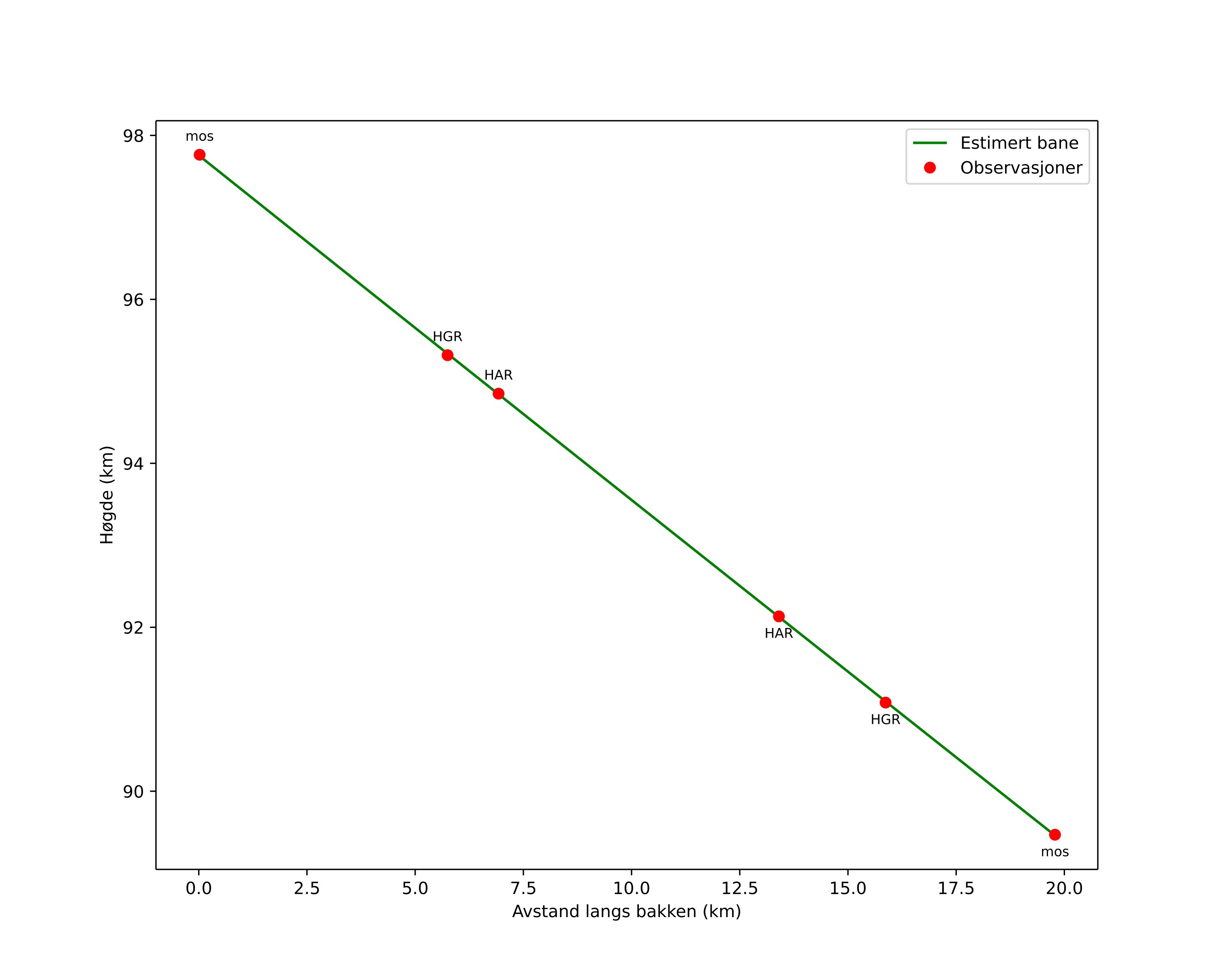
Meteorens atmosfæriske bane:
Starthøgde: 97,8 km
Slutthøgde: 89,5 km
Startposisjon: 59,435N 9,644E
Sluttposisjon: 59,304N 9,408E
Retning: 222,7°
Fallvinkel: 22,8°
Inngangshastighet: 43,6 km/s
Radiantens rektascensjon: 15:18 (229,6°)
Radiantens deklinasjon: 41,8°
Meteorsverm: sporadisk
Meteoroidens baneelement:
Perihelavstand: 0,893 AU
Eksentrisitet: 0,644
Inklinasjon: 74,3°
Knutelengde: 325,8°
Perihelargument: 221,0°
Midlere anomali: 352,7°
Epoke: 2026 FEB 14 20:50:49
orbit plot

Ikke-interaktivt plott | Interaktivt plott

position vs time
speed and acceleration

Hagar (HGR) cam5


gnomonic
Videoer
• Gnomonisk
• Gnomonisk med koordinater
• Original
• Original med koordinater
Bilder
• Gnomonisk
• Gnomonisk med koordinater
• Original
• Original med koordinater
Tekstfiler
• Deteksjon
• Observasjon
• Koordinater
• Logg
Lysstyrke

Harestua (HAR) cam4


gnomonic
Videoer
• Gnomonisk
• Gnomonisk med koordinater
• Original
• Original med koordinater
Bilder
• Gnomonisk
• Gnomonisk med koordinater
• Original
• Original med koordinater
Tekstfiler
• Deteksjon
• Observasjon
• Koordinater
• Logg
Lysstyrke

Moss (mos) cam6


gnomonic
Videoer
• Gnomonisk
• Gnomonisk med koordinater
• Original
• Original med koordinater
Bilder
• Gnomonisk
• Gnomonisk med koordinater
• Original
• Original med koordinater
Tekstfiler
• Deteksjon
• Observasjon
• Koordinater
• Logg
Lysstyrke