🇳🇴 🇬🇧 🇩🇪 🇨🇿 🇫🇮

Meteor over Bjursås 2026-02-14 23:37:12 UTC

KML-fil  |  Interaktivt kart

Kartet viser peilingene for meteoren. De lysere linjene viser retningene fra observasjonsstedene for meteorens tilsynekomst, og de mørkere linjene viser hvor den sist kunne sees. Den blå pila viser meteorens synlige ferd.

static map
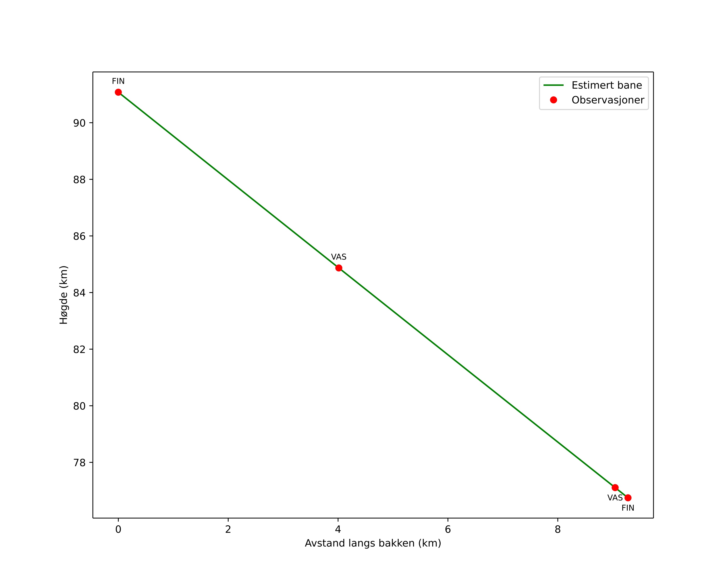
height profile
Meteorens atmosfæriske bane:
Starthøgde: 91,1 km
Slutthøgde: 76,7 km
Startposisjon: 61,060N 15,446E
Sluttposisjon: 61,142N 15,476E
Retning: 10,2°
Fallvinkel: 57,2°
Inngangshastighet: 24,5 km/s
Radiantens rektascensjon: 09:48 (147,2°)
Radiantens deklinasjon: 26,6°
Meteorsverm: sporadisk
Meteoroidens baneelement:
Perihelavstand: 0,656 AU
Eksentrisitet: 0,781
Inklinasjon: 8,4°
Knutelengde: 325,9°
Perihelargument: 256,5°
Midlere anomali: 352,1°
Epoke: 2026 FEB 14 23:37:12
orbit plot

Ikke-interaktivt plott | Interaktivt plott

position vs time
speed and acceleration

Finnskogen (FIN) cam2


gnomonic
Videoer
• Gnomonisk
• Gnomonisk med koordinater
• Original
• Original med koordinater
Bilder
• Gnomonisk
• Gnomonisk med koordinater
• Original
• Original med koordinater
Tekstfiler
• Deteksjon
• Observasjon
• Koordinater
• Logg
Lysstyrke

Vasteras (VAS) cam1


gnomonic
Videoer
• Gnomonisk
• Gnomonisk med koordinater
• Original
• Original med koordinater
Bilder
• Gnomonisk
• Gnomonisk med koordinater
• Original
• Original med koordinater
Tekstfiler
• Deteksjon
• Observasjon
• Koordinater
• Logg
Lysstyrke