🇳🇴 🇬🇧 🇩🇪 🇨🇿 🇫🇮

Meteor over Engerdal 2026-02-15 00:15:51 UTC

KML-fil  |  Interaktivt kart

Kartet viser peilingene for meteoren. De lysere linjene viser retningene fra observasjonsstedene for meteorens tilsynekomst, og de mørkere linjene viser hvor den sist kunne sees. Den blå pila viser meteorens synlige ferd.

static map
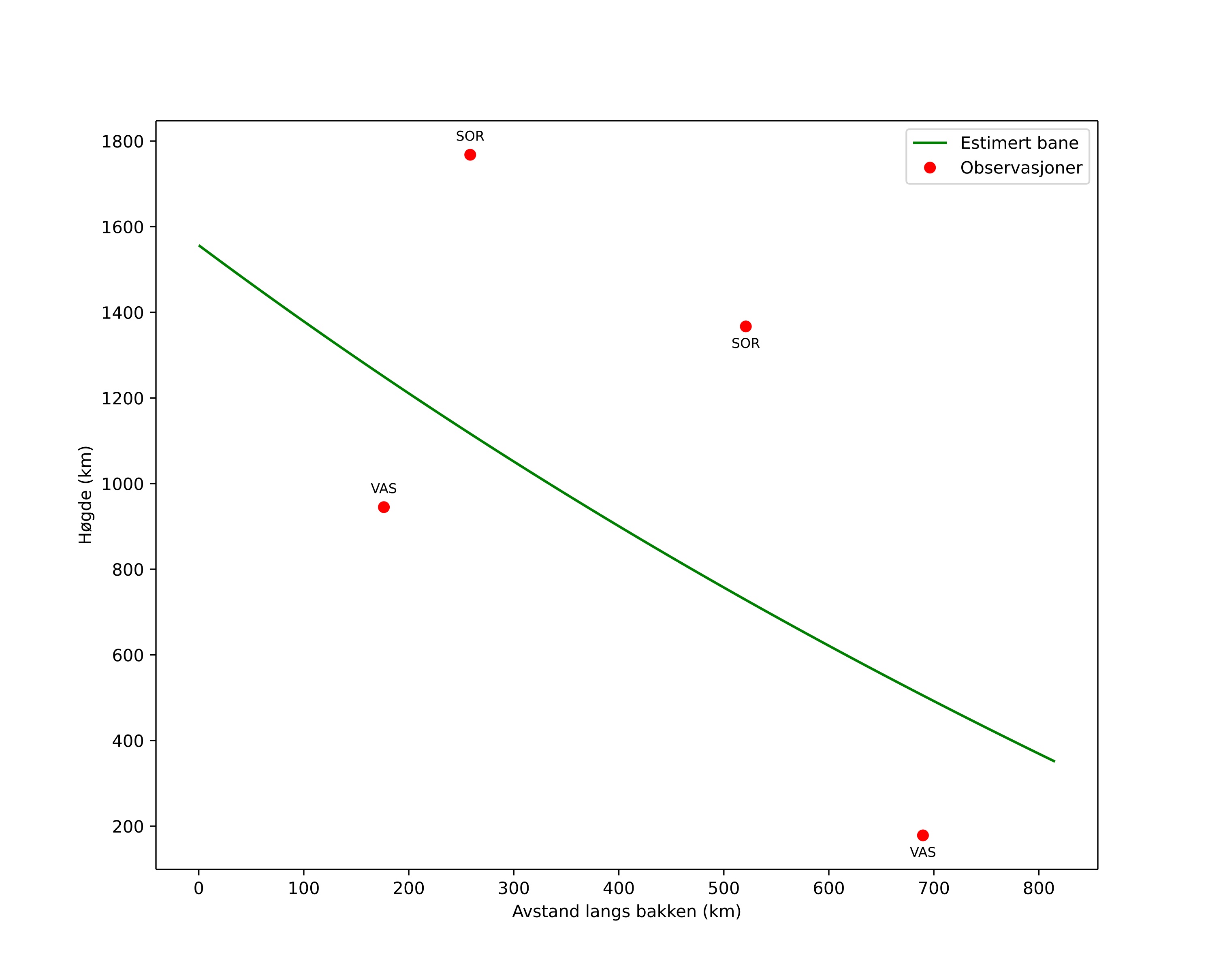
height profile
Meteorens atmosfæriske bane:
Starthøgde: 1556,6 km
Slutthøgde: 350,7 km
Startposisjon: 56,922N 2,121E
Sluttposisjon: 62,149N 12,307E
Retning: 40,3°
Fallvinkel: 55,9°
Inngangshastighet: 3003,8 km/s
Radiantens rektascensjon: 08:26 (126,6°)
Radiantens deklinasjon: 27,4°
Meteorsverm: sporadisk
Meteoroidens baneelement:
Perihelavstand: 0,424 AU
Eksentrisitet: 4348,081
Inklinasjon: 18,9°
Knutelengde: 325,9°
Perihelargument: 244,6°
Midlere anomali: -523809,4°
Epoke: 2026 FEB 15 00:15:51
orbit plot

Ikke-interaktivt plott | Interaktivt plott

position vs time
speed and acceleration

Sorreisa (SOR) cam4


gnomonic
Videoer
• Gnomonisk
• Gnomonisk med koordinater
• Original
• Original med koordinater
Bilder
• Gnomonisk
• Gnomonisk med koordinater
• Original
• Original med koordinater
Tekstfiler
• Deteksjon
• Observasjon
• Koordinater
• Logg
Lysstyrke

Vasteras (VAS) cam4


gnomonic
Videoer
• Gnomonisk
• Gnomonisk med koordinater
• Original
• Original med koordinater
Bilder
• Gnomonisk
• Gnomonisk med koordinater
• Original
• Original med koordinater
Tekstfiler
• Deteksjon
• Observasjon
• Koordinater
• Logg
Lysstyrke