🇳🇴 🇬🇧 🇩🇪 🇨🇿 🇫🇮

Meteor, poloha: Reinsvoll 2026-02-15 02:41:40 UTC

Soubor KML  |  Interaktivní mapa

Mapa zobrazuje dráhy meteoru. Světlejší čáry ukazují směry od pozorovacích stanic při objevení se meteoru a tmavší čáry, kde byl naposledy viděn. Modrá šipka značí viditelnou dráhu meteoru.

static map
height profile
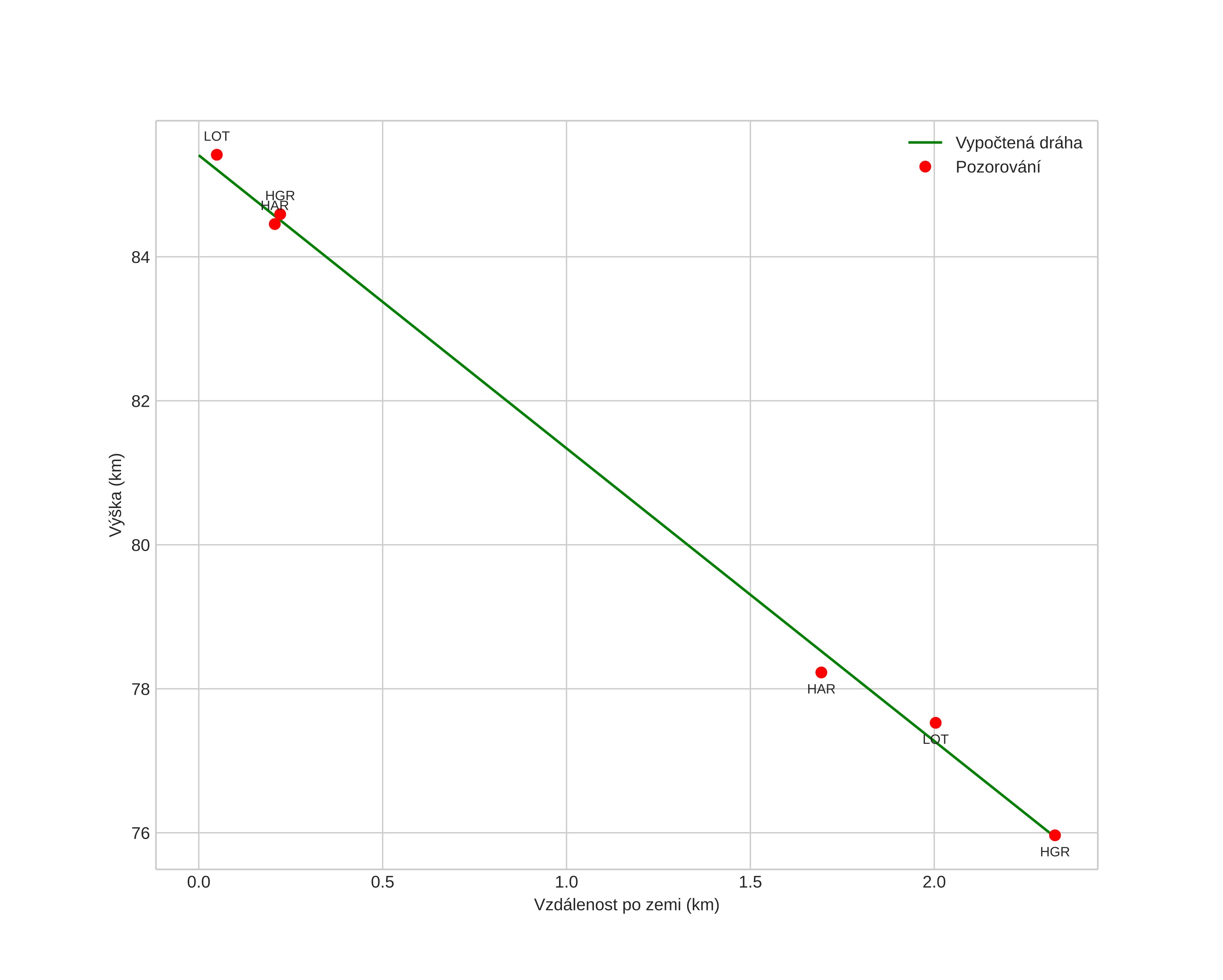
Atmosférická dráha meteoru:
Počáteční výška: 85,4 km
Konečná výška: 76,0 km
Počáteční poloha: 60,624N 10,613E
Konečná poloha: 60,606N 10,592E
Směr: 208,2°
Sklon: 76,1°
position vs time
speed and acceleration