🇳🇴 🇬🇧 🇩🇪 🇨🇿 🇫🇮

Meteor, poloha: Hurdal 2026-02-17 18:52:48 UTC

Soubor KML  |  Interaktivní mapa

Mapa zobrazuje dráhy meteoru. Světlejší čáry ukazují směry od pozorovacích stanic při objevení se meteoru a tmavší čáry, kde byl naposledy viděn. Modrá šipka značí viditelnou dráhu meteoru.

static map
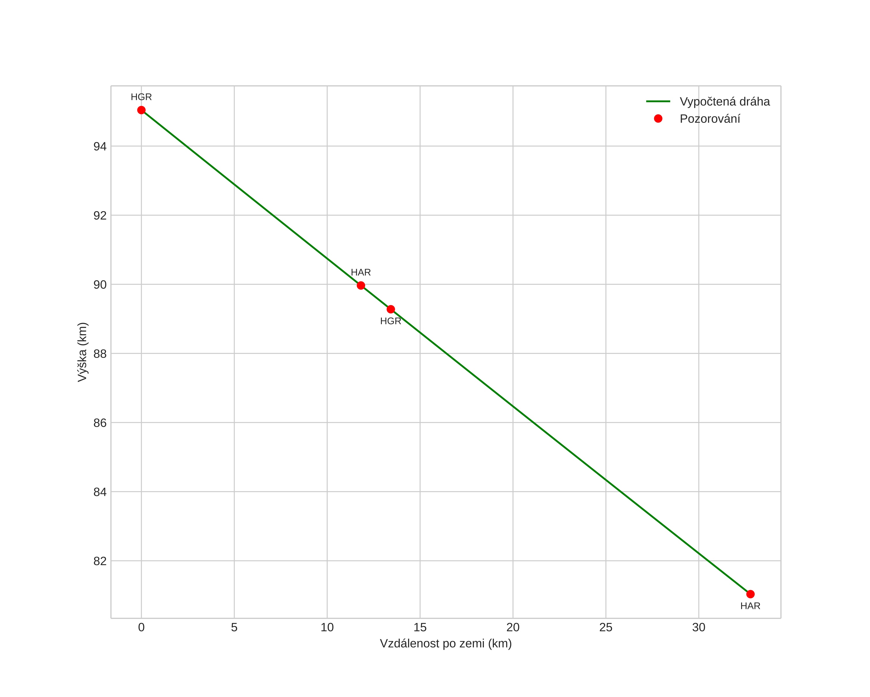
height profile
wind profile
Atmosférická dráha meteoru:
Počáteční výška: 95,0 km
Konečná výška: 81,0 km
Počáteční poloha: 60,450N 11,755E
Konečná poloha: 60,516N 11,172E
Směr: 283,2°
Sklon: 23,1°
position vs time
speed and acceleration