🇳🇴 🇬🇧 🇩🇪 🇨🇿 🇫🇮

Meteor over Vansbro 2026-02-18 19:10:07 UTC

KML-fil  |  Interaktivt kart

Kartet viser peilingene for meteoren. De lysere linjene viser retningene fra observasjonsstedene for meteorens tilsynekomst, og de mørkere linjene viser hvor den sist kunne sees. Den blå pila viser meteorens synlige ferd.

static map
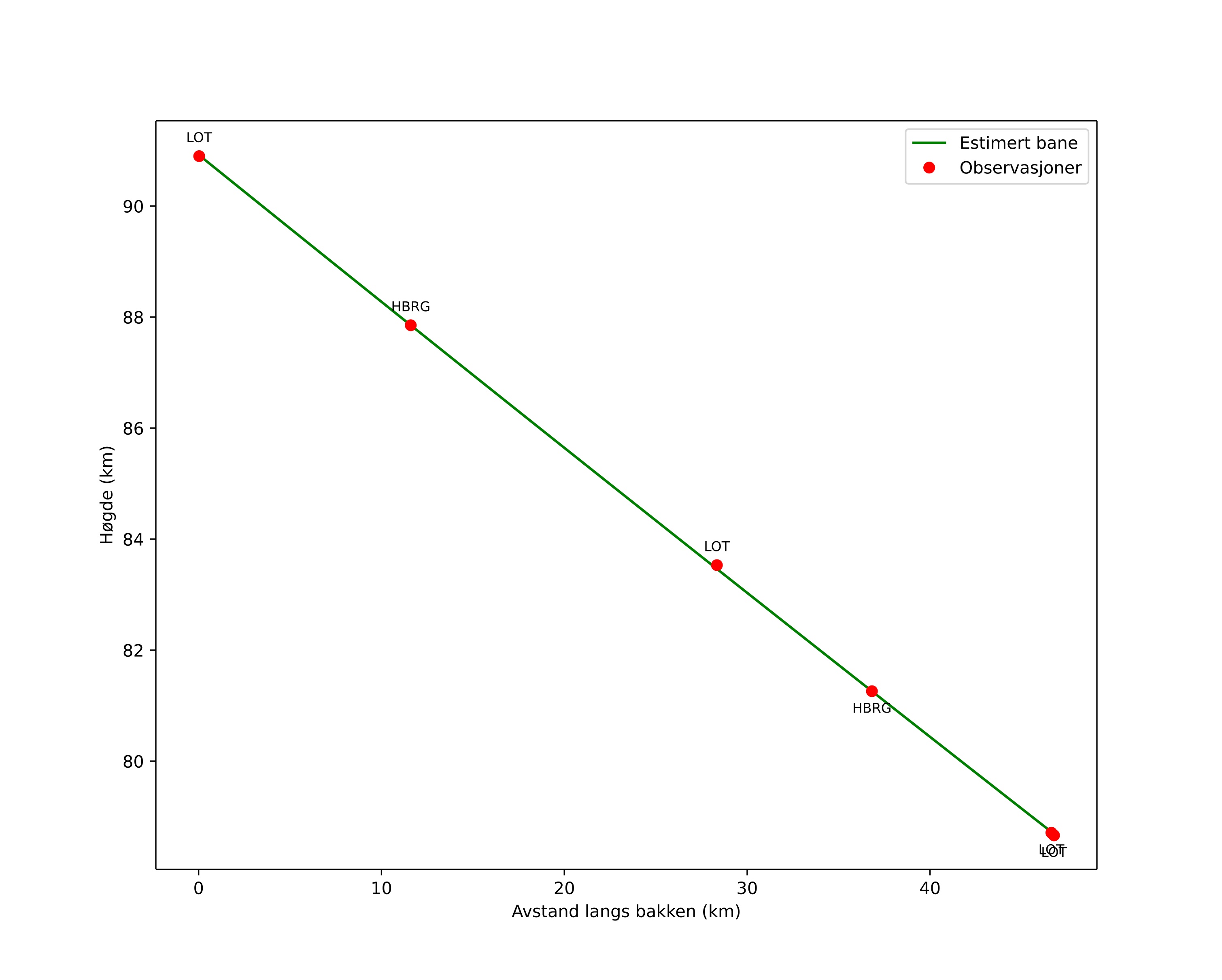
height profile
Meteorens atmosfæriske bane:
Starthøgde: 90,9 km
Slutthøgde: 78,7 km
Startposisjon: 60,329N 14,831E
Sluttposisjon: 60,358N 13,982E
Retning: 274,2°
Fallvinkel: 14,6°
Inngangshastighet: 40,9 km/s
Radiantens rektascensjon: 11:22 (170,5°)
Radiantens deklinasjon: 9,3°
Meteorsverm: sporadisk
Meteoroidens baneelement:
Perihelavstand: 0,190 AU
Eksentrisitet: 0,978
Inklinasjon: 10,2°
Knutelengde: 329,8°
Perihelargument: 309,3°
Midlere anomali: 358,7°
Epoke: 2026 FEB 18 19:10:07
orbit plot

Ikke-interaktivt plott | Interaktivt plott

position vs time
speed and acceleration

Loten (LOT) cam2


gnomonic
Videoer
• Gnomonisk
• Gnomonisk med koordinater
• Original
• Original med koordinater
Bilder
• Gnomonisk
• Gnomonisk med koordinater
• Original
• Original med koordinater
Tekstfiler
• Deteksjon
• Observasjon
• Koordinater
• Logg
Lysstyrke

Loten (LOT) cam3


gnomonic
Videoer
• Gnomonisk
• Gnomonisk med koordinater
• Original
• Original med koordinater
Bilder
• Gnomonisk
• Gnomonisk med koordinater
• Original
• Original med koordinater
Tekstfiler
• Deteksjon
• Observasjon
• Koordinater
• Logg
Lysstyrke