🇳🇴 🇬🇧 🇩🇪 🇨🇿 🇫🇮

Meteor Vansbron yllä 2026-02-18 19:10:07 UTC

KML-tiedosto  |  Interaktiivinen kartta

Kartta näyttää meteorin suuntahavainnot. Vaaleammat viivat näyttävät suunnat havaintoasemilta meteorin ilmestyessä, ja tummemmat viivat näyttävät, missä se viimeksi nähtiin. Sininen nuoli näyttää meteorin näkyvän lennon.

static map
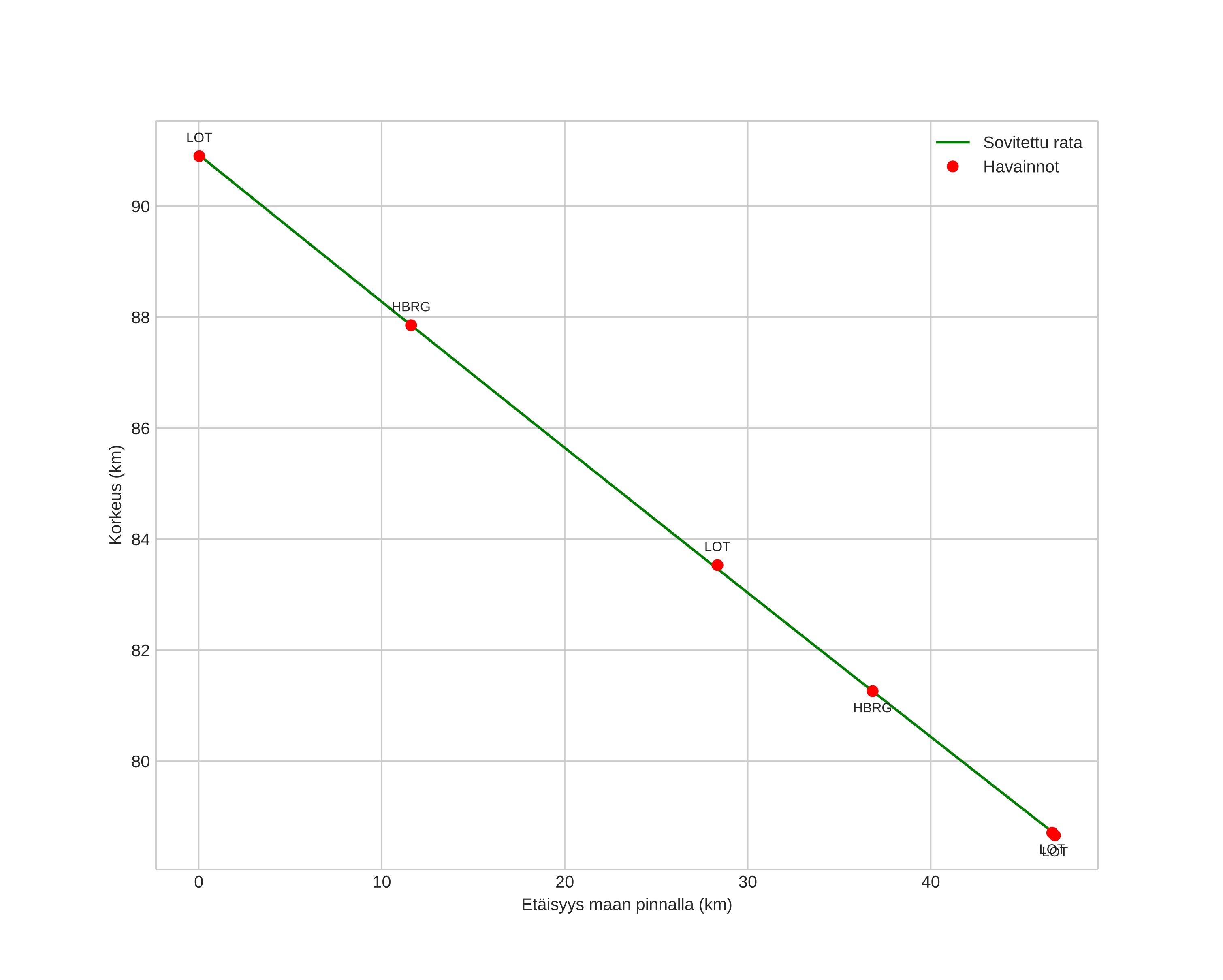
height profile
Meteorin ilmakehärata:
Alkukorkeus: 90,9 km
Loppukorkeus: 78,7 km
Alkupiste: 60,329N 14,831E
Loppupiste: 60,358N 13,982E
Suunta: 274,2°
Kallistuskulma: 14,6°
Tulonopeus: 40,9 km/s
Radiantin R,A,: 11:22 (170,5°)
Radiantin Dekl,: 9,3°
Meteoriparvi: Sporadinen
Meteoroidin rataelementit:
Perihelietäisyys: 0,190 AU
Eksentrisyys: 0,978
Inklinaatio: 10,2°
Nousevan solmun pituus: 329,8°
Perihelin argumentti: 309,3°
Keskianomalia: 358,7°
Epookki: 2026 FEB 18 19:10:07
orbit plot

Ei-interaktiivinen kuvaaja | Interaktiivinen kuvaaja

position vs time
speed and acceleration

Loten (LOT) cam2


gnomonic
Videot:
• Gnomoninen
• Gnomoninen koordinaateilla
• Alkuperäinen
• Alkuperäinen koordinaateilla
Kuvat:
• Gnomoninen
• Gnomoninen koordinaateilla
• Alkuperäinen
• Alkuperäinen koordinaateilla
Tekstitiedostot:
• Havaintoraportti
• Observaatio
• Koordinaatit
• Loki
Kirkkaus

Loten (LOT) cam3


gnomonic
Videot:
• Gnomoninen
• Gnomoninen koordinaateilla
• Alkuperäinen
• Alkuperäinen koordinaateilla
Kuvat:
• Gnomoninen
• Gnomoninen koordinaateilla
• Alkuperäinen
• Alkuperäinen koordinaateilla
Tekstitiedostot:
• Havaintoraportti
• Observaatio
• Koordinaatit
• Loki
Kirkkaus