🇳🇴 🇬🇧 🇩🇪 🇨🇿 🇫🇮

Meteor Rørosin yllä 2026-02-19 00:00:44 UTC

KML-tiedosto  |  Interaktiivinen kartta

Kartta näyttää meteorin suuntahavainnot. Vaaleammat viivat näyttävät suunnat havaintoasemilta meteorin ilmestyessä, ja tummemmat viivat näyttävät, missä se viimeksi nähtiin. Sininen nuoli näyttää meteorin näkyvän lennon.

static map
height profile
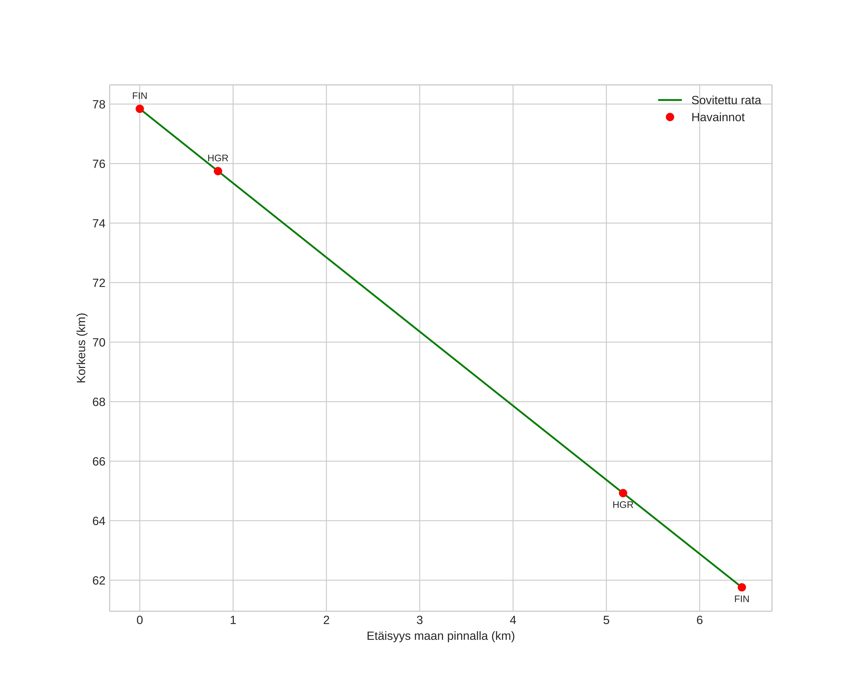
Meteorin ilmakehärata:
Alkukorkeus: 77,8 km
Loppukorkeus: 61,8 km
Alkupiste: 62,755N 11,467E
Loppupiste: 62,770N 11,589E
Suunta: 74,7°
Kallistuskulma: 68,0°
Tulonopeus: 17,2 km/s
Radiantin R,A,: 08:03 (120,8°)
Radiantin Dekl,: 48,6°
Meteoriparvi: Sporadinen
Meteoroidin rataelementit:
Perihelietäisyys: 0,925 AU
Eksentrisyys: 0,699
Inklinaatio: 9,3°
Nousevan solmun pituus: 330,0°
Perihelin argumentti: 212,5°
Keskianomalia: 355,7°
Epookki: 2026 FEB 19 00:00:44
orbit plot

Ei-interaktiivinen kuvaaja | Interaktiivinen kuvaaja

position vs time
speed and acceleration

Finnskogen (FIN) cam1


gnomonic
Videot:
• Gnomoninen
• Gnomoninen koordinaateilla
• Alkuperäinen
• Alkuperäinen koordinaateilla
Kuvat:
• Gnomoninen
• Gnomoninen koordinaateilla
• Alkuperäinen
• Alkuperäinen koordinaateilla
Tekstitiedostot:
• Havaintoraportti
• Observaatio
• Koordinaatit
• Loki
Kirkkaus

Hagar (HGR) cam2


gnomonic
Videot:
• Gnomoninen
• Gnomoninen koordinaateilla
• Alkuperäinen
• Alkuperäinen koordinaateilla
Kuvat:
• Gnomoninen
• Gnomoninen koordinaateilla
• Alkuperäinen
• Alkuperäinen koordinaateilla
Tekstitiedostot:
• Havaintoraportti
• Observaatio
• Koordinaatit
• Loki
Kirkkaus