🇳🇴 🇬🇧 🇩🇪 🇨🇿 🇫🇮

Meteor über Torsby 2026-02-19 00:28:30 UTC

KML-Datei  |  Interaktive Karte

Die Karte zeigt die Peilungen für den Meteor. Die helleren Linien zeigen die Richtungen von den Beobachtungsorten beim Erscheinen des Meteors, und die dunkleren Linien, wo er zuletzt gesehen wurde. Der blaue Pfeil zeigt die sichtbare Bahn des Meteors.

static map
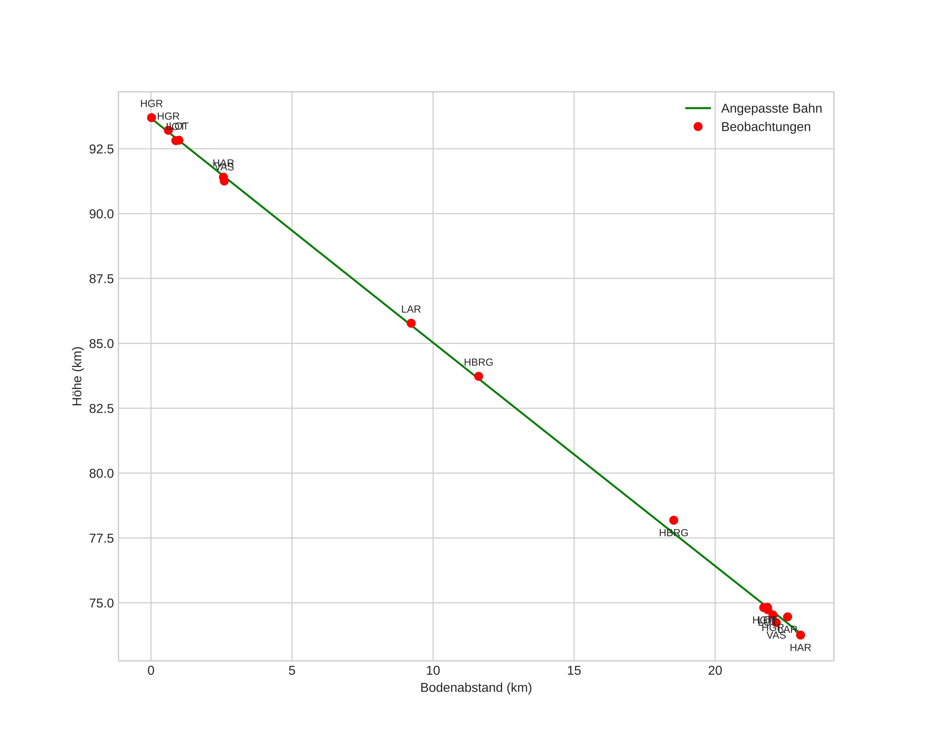
height profile
Atmosphärische Bahn des Meteors:
Anfangshöhe: 93,7 km
Endhöhe: 73,8 km
Startposition: 60,125N 12,633E
Endposition: 60,331N 12,585E
Richtung: 353,5°
Neigungswinkel: 40,8°
Eintrittsgeschwindigkeit: 39,7 km/s
Rektaszension des Radianten: 11:32 (173,0°)
Deklination des Radianten: 10,1°
Meteorstrom: sporadisch
Bahnelemente des Meteoroiden:
Periheldistanz: 0,182 AU
Exzentrizität: 0,954
Inklination: 13,9°
Länge des aufsteigenden Knotens: 330,0°
Argument des Perihels: 312,2°
Mittlere Anomalie: 355,6°
Epoche: 2026 FEB 19 00:28:30
orbit plot

Nicht-interaktives Diagramm | Interaktives Diagramm

position vs time
speed and acceleration

Hagar (HGR) cam3


gnomonic
Videos
• Gnomonisch
• Gnomonisch mit Koordinaten
• Original
• Original mit Koordinaten
Bilder
• Gnomonisch
• Gnomonisch mit Koordinaten
• Original
• Original mit Koordinaten
Textdateien
• Erkennung
• Beobachtung
• Koordinaten
• Protokoll
Helligkeit

Hagar (HGR) cam4


gnomonic
Videos
• Gnomonisch
• Gnomonisch mit Koordinaten
• Original
• Original mit Koordinaten
Bilder
• Gnomonisch
• Gnomonisch mit Koordinaten
• Original
• Original mit Koordinaten
Textdateien
• Erkennung
• Beobachtung
• Koordinaten
• Protokoll
Helligkeit

Harestua (HAR) cam2


gnomonic
Videos
• Gnomonisch
• Gnomonisch mit Koordinaten
• Original
• Original mit Koordinaten
Bilder
• Gnomonisch
• Gnomonisch mit Koordinaten
• Original
• Original mit Koordinaten
Textdateien
• Erkennung
• Beobachtung
• Koordinaten
• Protokoll
Helligkeit

Larvik (LAR) cam2


gnomonic
Videos
• Gnomonisch
• Gnomonisch mit Koordinaten
• Original
• Original mit Koordinaten
Bilder
• Gnomonisch
• Gnomonisch mit Koordinaten
• Original
• Original mit Koordinaten
Textdateien
• Erkennung
• Beobachtung
• Koordinaten
• Protokoll
Helligkeit

Loten (LOT) cam3


gnomonic
Videos
• Gnomonisch
• Gnomonisch mit Koordinaten
• Original
• Original mit Koordinaten
Bilder
• Gnomonisch
• Gnomonisch mit Koordinaten
• Original
• Original mit Koordinaten
Textdateien
• Erkennung
• Beobachtung
• Koordinaten
• Protokoll
Helligkeit

Loten (LOT) cam7


gnomonic
Videos
• Gnomonisch
• Gnomonisch mit Koordinaten
• Original
• Original mit Koordinaten
Bilder
• Gnomonisch
• Gnomonisch mit Koordinaten
• Original
• Original mit Koordinaten
Textdateien
• Erkennung
• Beobachtung
• Koordinaten
• Protokoll
Helligkeit

Vasteras (VAS) cam5


gnomonic
Videos
• Gnomonisch
• Gnomonisch mit Koordinaten
• Original
• Original mit Koordinaten
Bilder
• Gnomonisch
• Gnomonisch mit Koordinaten
• Original
• Original mit Koordinaten
Textdateien
• Erkennung
• Beobachtung
• Koordinaten
• Protokoll
Helligkeit