🇳🇴 🇬🇧 🇩🇪 🇨🇿 🇫🇮

Meteor over Älvdalen 2026-02-19 01:06:23 UTC

KML-fil  |  Interaktivt kart

Kartet viser peilingene for meteoren. De lysere linjene viser retningene fra observasjonsstedene for meteorens tilsynekomst, og de mørkere linjene viser hvor den sist kunne sees. Den blå pila viser meteorens synlige ferd.

static map
height profile
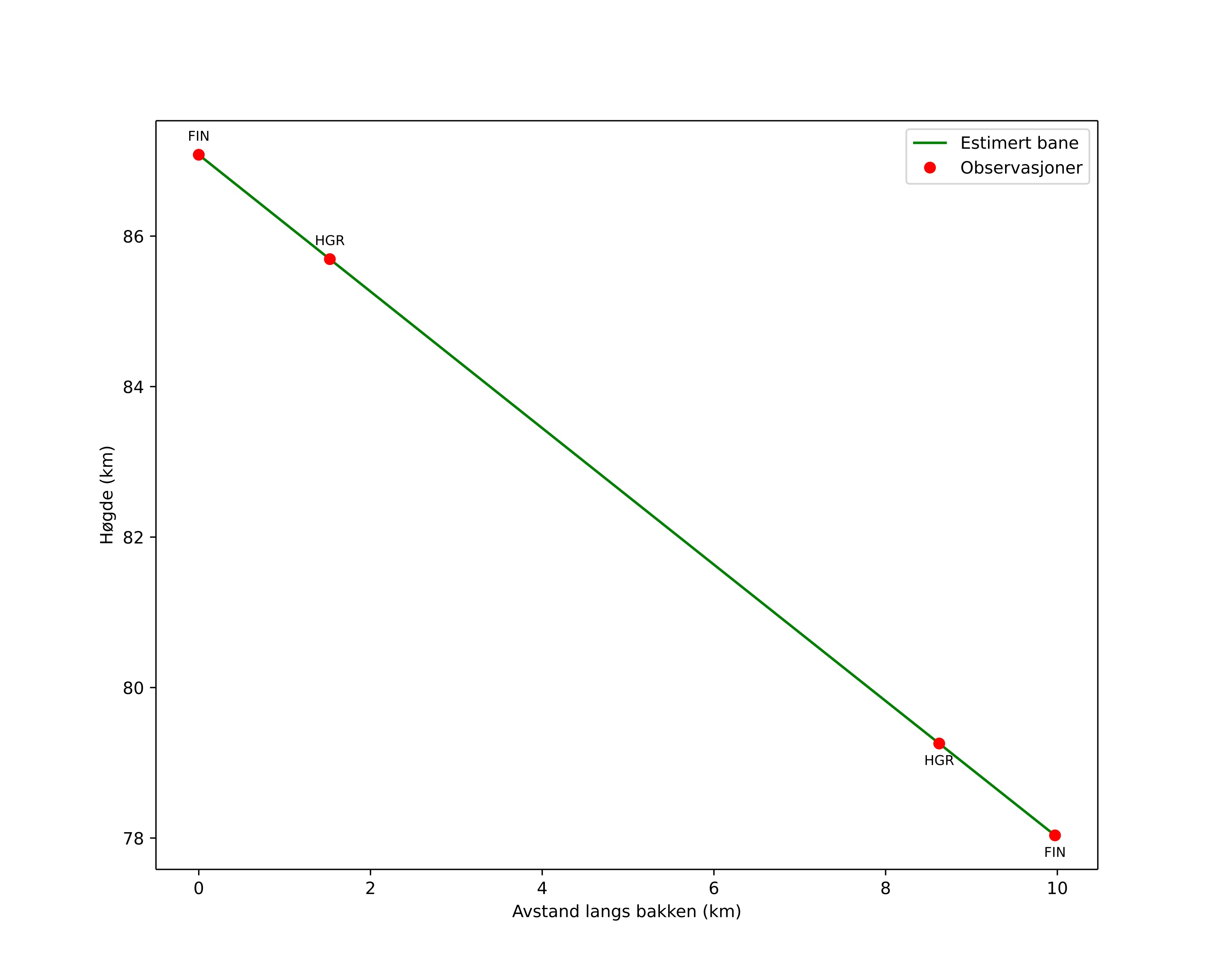
Meteorens atmosfæriske bane:
Starthøgde: 87,1 km
Slutthøgde: 78,0 km
Startposisjon: 61,244N 13,493E
Sluttposisjon: 61,328N 13,558E
Retning: 20,5°
Fallvinkel: 42,4°
Inngangshastighet: 28,9 km/s
Radiantens rektascensjon: 10:49 (162,4°)
Radiantens deklinasjon: 13,0°
Meteorsverm: sporadisk
Meteoroidens baneelement:
Perihelavstand: 0,421 AU
Eksentrisitet: 0,795
Inklinasjon: 5,2°
Knutelengde: 330,0°
Perihelargument: 287,3°
Midlere anomali: 345,2°
Epoke: 2026 FEB 19 01:06:23
orbit plot

Ikke-interaktivt plott | Interaktivt plott

position vs time
speed and acceleration

Finnskogen (FIN) cam6


gnomonic
Videoer
• Gnomonisk
• Gnomonisk med koordinater
• Original
• Original med koordinater
Bilder
• Gnomonisk
• Gnomonisk med koordinater
• Original
• Original med koordinater
Tekstfiler
• Deteksjon
• Observasjon
• Koordinater
• Logg
Lysstyrke

Hagar (HGR) cam3


gnomonic
Videoer
• Gnomonisk
• Gnomonisk med koordinater
• Original
• Original med koordinater
Bilder
• Gnomonisk
• Gnomonisk med koordinater
• Original
• Original med koordinater
Tekstfiler
• Deteksjon
• Observasjon
• Koordinater
• Logg
Lysstyrke