🇳🇴 🇬🇧 🇩🇪 🇨🇿 🇫🇮

Meteor Älvdalenin yllä 2026-02-19 01:06:23 UTC

KML-tiedosto  |  Interaktiivinen kartta

Kartta näyttää meteorin suuntahavainnot. Vaaleammat viivat näyttävät suunnat havaintoasemilta meteorin ilmestyessä, ja tummemmat viivat näyttävät, missä se viimeksi nähtiin. Sininen nuoli näyttää meteorin näkyvän lennon.

static map
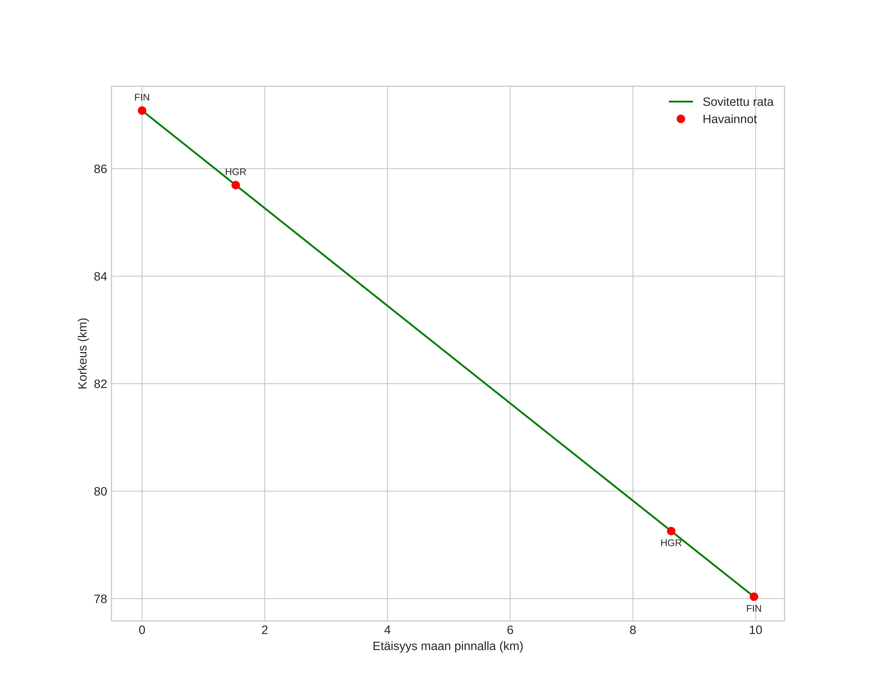
height profile
Meteorin ilmakehärata:
Alkukorkeus: 87,1 km
Loppukorkeus: 78,0 km
Alkupiste: 61,244N 13,493E
Loppupiste: 61,328N 13,558E
Suunta: 20,5°
Kallistuskulma: 42,4°
Tulonopeus: 28,9 km/s
Radiantin R,A,: 10:49 (162,4°)
Radiantin Dekl,: 13,0°
Meteoriparvi: Sporadinen
Meteoroidin rataelementit:
Perihelietäisyys: 0,421 AU
Eksentrisyys: 0,795
Inklinaatio: 5,2°
Nousevan solmun pituus: 330,0°
Perihelin argumentti: 287,3°
Keskianomalia: 345,2°
Epookki: 2026 FEB 19 01:06:23
orbit plot

Ei-interaktiivinen kuvaaja | Interaktiivinen kuvaaja

position vs time
speed and acceleration

Finnskogen (FIN) cam6


gnomonic
Videot:
• Gnomoninen
• Gnomoninen koordinaateilla
• Alkuperäinen
• Alkuperäinen koordinaateilla
Kuvat:
• Gnomoninen
• Gnomoninen koordinaateilla
• Alkuperäinen
• Alkuperäinen koordinaateilla
Tekstitiedostot:
• Havaintoraportti
• Observaatio
• Koordinaatit
• Loki
Kirkkaus

Hagar (HGR) cam3


gnomonic
Videot:
• Gnomoninen
• Gnomoninen koordinaateilla
• Alkuperäinen
• Alkuperäinen koordinaateilla
Kuvat:
• Gnomoninen
• Gnomoninen koordinaateilla
• Alkuperäinen
• Alkuperäinen koordinaateilla
Tekstitiedostot:
• Havaintoraportti
• Observaatio
• Koordinaatit
• Loki
Kirkkaus