🇳🇴 🇬🇧 🇩🇪 🇨🇿 🇫🇮

Meteor, poloha: Noresund 2026-02-19 01:43:19 UTC

Soubor KML  |  Interaktivní mapa

Mapa zobrazuje dráhy meteoru. Světlejší čáry ukazují směry od pozorovacích stanic při objevení se meteoru a tmavší čáry, kde byl naposledy viděn. Modrá šipka značí viditelnou dráhu meteoru.

static map
height profile
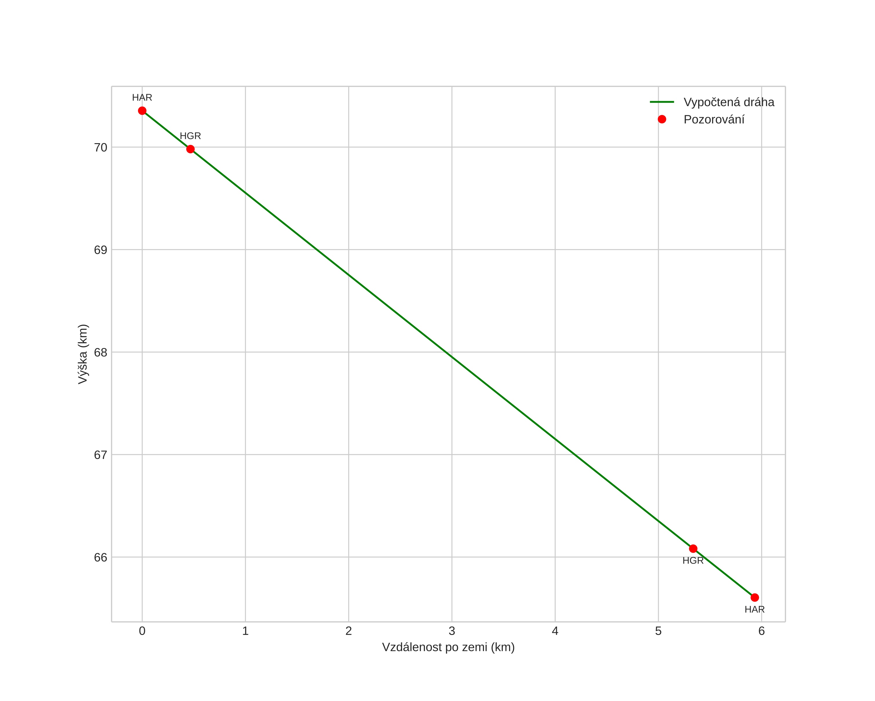
Atmosférická dráha meteoru:
Počáteční výška: 70,4 km
Konečná výška: 65,6 km
Počáteční poloha: 60,108N 9,874E
Konečná poloha: 60,149N 9,804E
Směr: 319,2°
Sklon: 39,0°
Vstupní rychlost: 10,0 km/s
position vs time
speed and acceleration