🇳🇴 🇬🇧 🇩🇪 🇨🇿 🇫🇮

Meteor, poloha: Hov 2026-02-19 04:15:21 UTC

Soubor KML  |  Interaktivní mapa

Mapa zobrazuje dráhy meteoru. Světlejší čáry ukazují směry od pozorovacích stanic při objevení se meteoru a tmavší čáry, kde byl naposledy viděn. Modrá šipka značí viditelnou dráhu meteoru.

static map
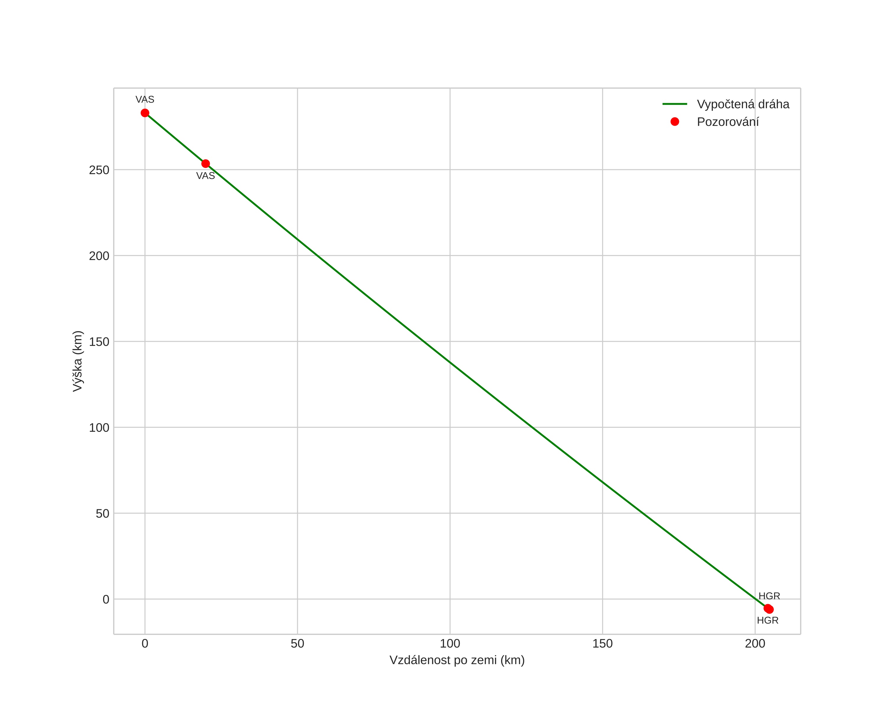
height profile
Atmosférická dráha meteoru:
Počáteční výška: 283,0 km
Konečná výška: -6,1 km
Počáteční poloha: 61,371N 13,851E
Konečná poloha: 60,669N 10,338E
Směr: 249,2°
Sklon: 54,7°
position vs time
speed and acceleration