🇳🇴 🇬🇧 🇩🇪 🇨🇿 🇫🇮

Meteor Koppangin yllä 2026-02-19 05:04:37 UTC

KML-tiedosto  |  Interaktiivinen kartta

Kartta näyttää meteorin suuntahavainnot. Vaaleammat viivat näyttävät suunnat havaintoasemilta meteorin ilmestyessä, ja tummemmat viivat näyttävät, missä se viimeksi nähtiin. Sininen nuoli näyttää meteorin näkyvän lennon.

static map
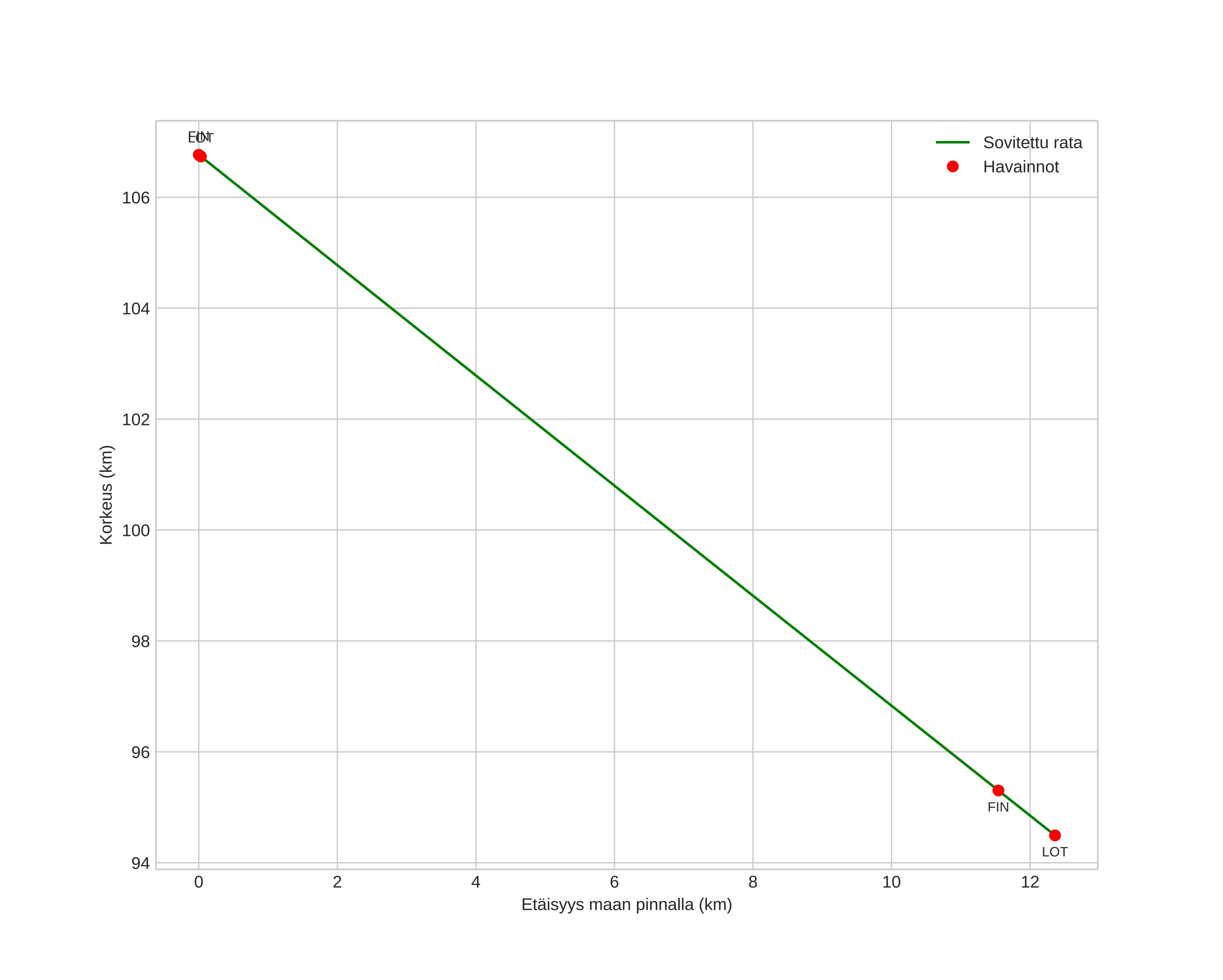
height profile
Meteorin ilmakehärata:
Alkukorkeus: 106,8 km
Loppukorkeus: 94,5 km
Alkupiste: 61,449N 10,522E
Loppupiste: 61,545N 10,640E
Suunta: 30,5°
Kallistuskulma: 44,9°
Tulonopeus: 56,4 km/s
Radiantin R,A,: 14:10 (212,7°)
Radiantin Dekl,: 18,7°
Meteoriparvi: Sporadinen
Meteoroidin rataelementit:
Perihelietäisyys: 0,476 AU
Eksentrisyys: 0,917
Inklinaatio: 106,6°
Nousevan solmun pituus: 330,2°
Perihelin argumentti: 274,9°
Keskianomalia: 357,1°
Epookki: 2026 FEB 19 05:04:37
orbit plot

Ei-interaktiivinen kuvaaja | Interaktiivinen kuvaaja

position vs time
speed and acceleration

Finnskogen (FIN) cam5


gnomonic
Videot:
• Gnomoninen
• Gnomoninen koordinaateilla
• Alkuperäinen
• Alkuperäinen koordinaateilla
Kuvat:
• Gnomoninen
• Gnomoninen koordinaateilla
• Alkuperäinen
• Alkuperäinen koordinaateilla
Tekstitiedostot:
• Havaintoraportti
• Observaatio
• Koordinaatit
• Loki
Kirkkaus

Loten (LOT) cam6


gnomonic
Videot:
• Gnomoninen
• Gnomoninen koordinaateilla
• Alkuperäinen
• Alkuperäinen koordinaateilla
Kuvat:
• Gnomoninen
• Gnomoninen koordinaateilla
• Alkuperäinen
• Alkuperäinen koordinaateilla
Tekstitiedostot:
• Havaintoraportti
• Observaatio
• Koordinaatit
• Loki
Kirkkaus