🇳🇴 🇬🇧 🇩🇪 🇨🇿 🇫🇮

Meteor, poloha: Brøstadbotn 2026-02-19 22:34:30 UTC

Soubor KML  |  Interaktivní mapa

Mapa zobrazuje dráhy meteoru. Světlejší čáry ukazují směry od pozorovacích stanic při objevení se meteoru a tmavší čáry, kde byl naposledy viděn. Modrá šipka značí viditelnou dráhu meteoru.

static map
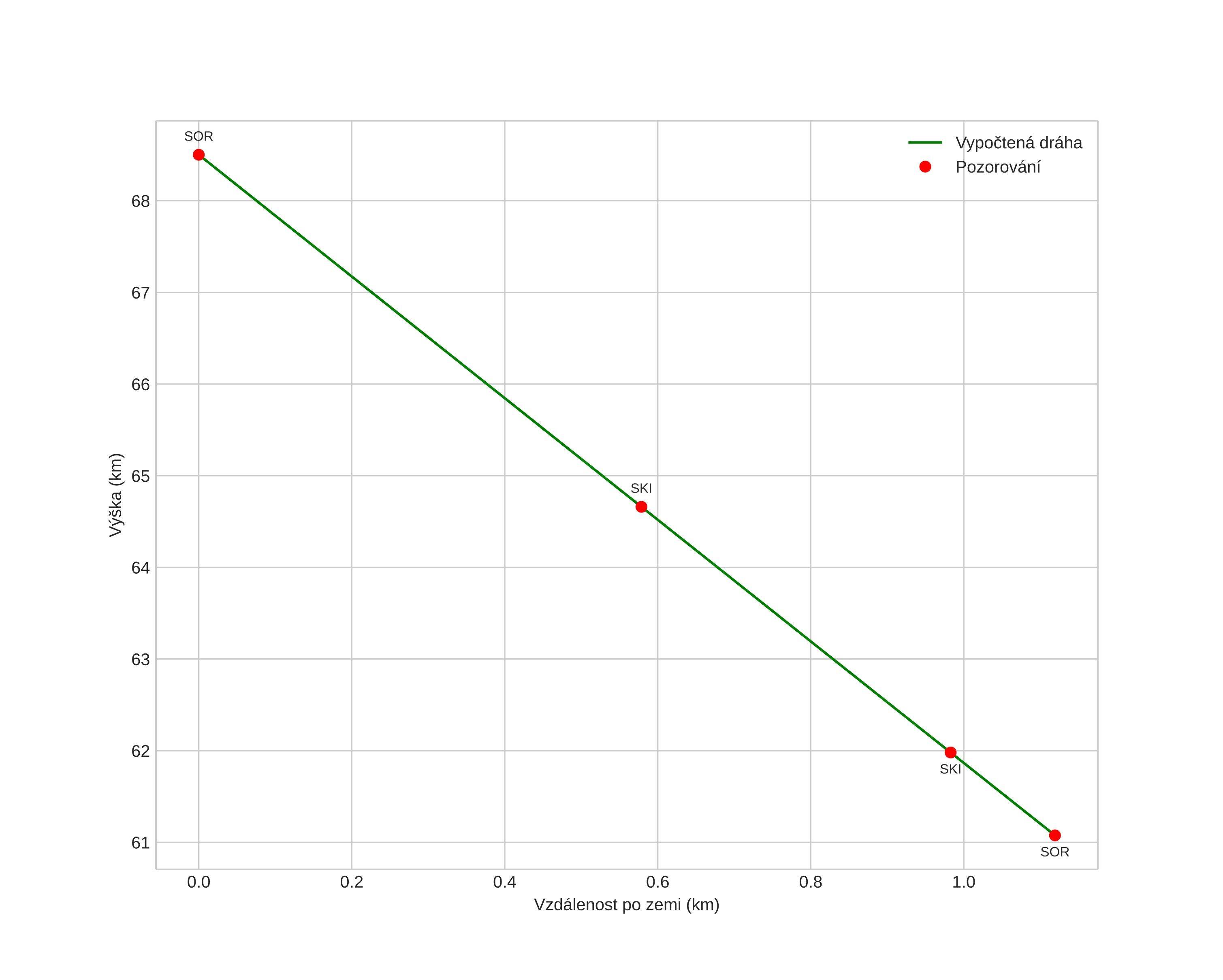
height profile
Atmosférická dráha meteoru:
Počáteční výška: 68,5 km
Konečná výška: 61,1 km
Počáteční poloha: 69,846N 17,110E
Konečná poloha: 69,843N 17,138E
Směr: 105,4°
Sklon: 81,4°
Vstupní rychlost: 9,7 km/s
position vs time
speed and acceleration