🇳🇴 🇬🇧 🇩🇪 🇨🇿 🇫🇮

Meteor, poloha: Storsteinnes 2026-02-20 19:44:39 UTC

Soubor KML  |  Interaktivní mapa

Mapa zobrazuje dráhy meteoru. Světlejší čáry ukazují směry od pozorovacích stanic při objevení se meteoru a tmavší čáry, kde byl naposledy viděn. Modrá šipka značí viditelnou dráhu meteoru.

static map
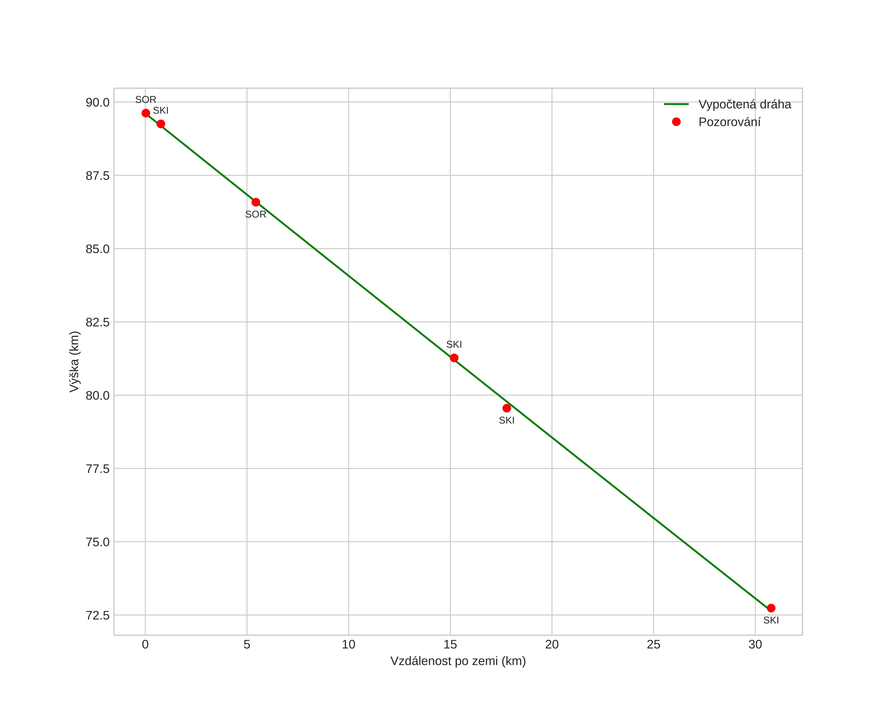
height profile
Atmosférická dráha meteoru:
Počáteční výška: 89,6 km
Konečná výška: 72,7 km
Počáteční poloha: 68,838N 18,529E
Konečná poloha: 68,872N 19,289E
Směr: 82,4°
Sklon: 28,8°
Vstupní rychlost: 0,1 km/s
position vs time
speed and acceleration