🇳🇴 🇬🇧 🇩🇪 🇨🇿 🇫🇮

Meteor Jokkmokkin yllä 2026-02-20 23:16:49 UTC

KML-tiedosto  |  Interaktiivinen kartta

Kartta näyttää meteorin suuntahavainnot. Vaaleammat viivat näyttävät suunnat havaintoasemilta meteorin ilmestyessä, ja tummemmat viivat näyttävät, missä se viimeksi nähtiin. Sininen nuoli näyttää meteorin näkyvän lennon.

static map
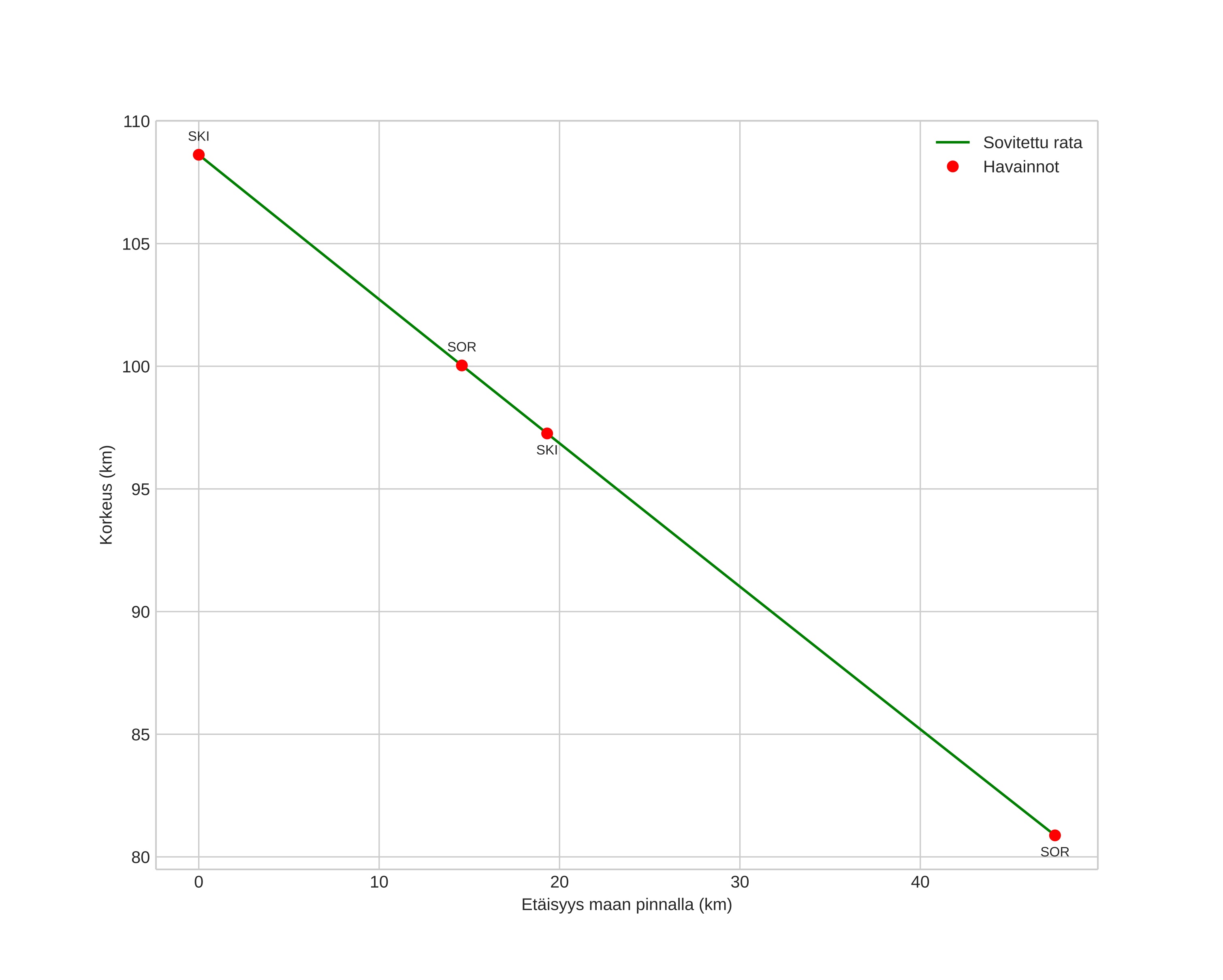
height profile
Meteorin ilmakehärata:
Alkukorkeus: 108,6 km
Loppukorkeus: 80,9 km
Alkupiste: 67,453N 19,776E
Loppupiste: 67,198N 18,886E
Suunta: 233,9°
Kallistuskulma: 30,3°
Tulonopeus: 45,4 km/s
Radiantin R,A,: 18:07 (271,8°)
Radiantin Dekl,: 40,6°
Meteoriparvi: Sporadinen
Meteoroidin rataelementit:
Perihelietäisyys: 0,933 AU
Eksentrisyys: 1,060
Inklinaatio: 70,9°
Nousevan solmun pituus: 332,0°
Perihelin argumentti: 152,9°
Keskianomalia: 0,3°
Epookki: 2026 FEB 20 23:16:49
orbit plot

Ei-interaktiivinen kuvaaja | Interaktiivinen kuvaaja

position vs time
speed and acceleration

Skibotn (SKI) cam4


gnomonic
Videot:
• Gnomoninen
• Gnomoninen koordinaateilla
• Alkuperäinen
• Alkuperäinen koordinaateilla
Kuvat:
• Gnomoninen
• Gnomoninen koordinaateilla
• Alkuperäinen
• Alkuperäinen koordinaateilla
Tekstitiedostot:
• Havaintoraportti
• Observaatio
• Koordinaatit
• Loki
Kirkkaus

Sorreisa (SOR) cam3


gnomonic
Videot:
• Gnomoninen
• Gnomoninen koordinaateilla
• Alkuperäinen
• Alkuperäinen koordinaateilla
Kuvat:
• Gnomoninen
• Gnomoninen koordinaateilla
• Alkuperäinen
• Alkuperäinen koordinaateilla
Tekstitiedostot:
• Havaintoraportti
• Observaatio
• Koordinaatit
• Loki
Kirkkaus