🇳🇴 🇬🇧 🇩🇪 🇨🇿 🇫🇮

Meteor, poloha: Storsteinnes 2026-02-21 01:28:41 UTC

Soubor KML  |  Interaktivní mapa

Mapa zobrazuje dráhy meteoru. Světlejší čáry ukazují směry od pozorovacích stanic při objevení se meteoru a tmavší čáry, kde byl naposledy viděn. Modrá šipka značí viditelnou dráhu meteoru.

static map
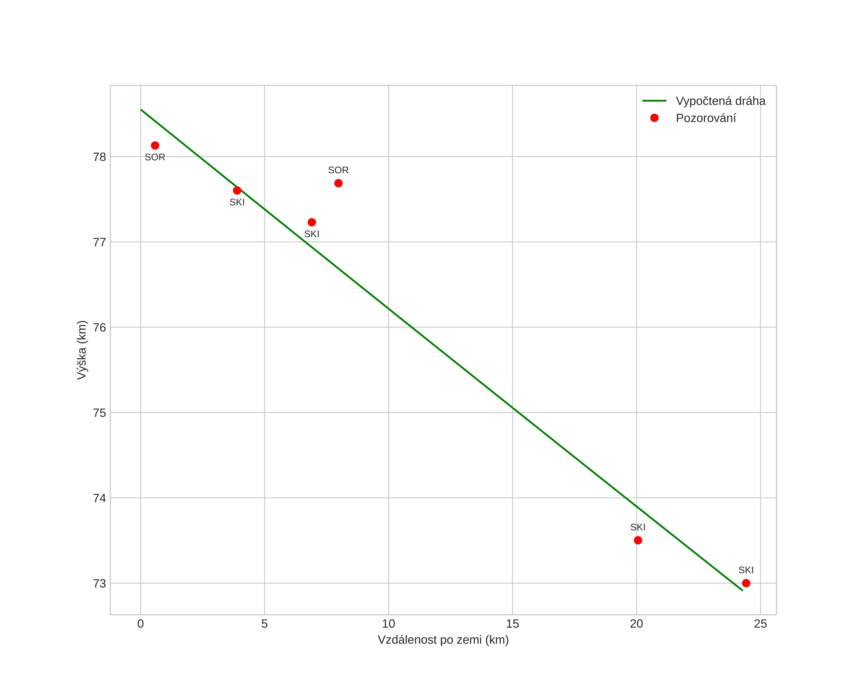
height profile
Atmosférická dráha meteoru:
Počáteční výška: 78,6 km
Konečná výška: 72,9 km
Počáteční poloha: 68,991N 19,534E
Konečná poloha: 68,837N 19,102E
Směr: 225,5°
Sklon: 13,2°
position vs time
speed and acceleration