🇳🇴 🇬🇧 🇩🇪 🇨🇿 🇫🇮

Meteor, poloha: Hov 2026-02-21 20:07:22 UTC

Soubor KML  |  Interaktivní mapa

Mapa zobrazuje dráhy meteoru. Světlejší čáry ukazují směry od pozorovacích stanic při objevení se meteoru a tmavší čáry, kde byl naposledy viděn. Modrá šipka značí viditelnou dráhu meteoru.

static map
height profile
wind profile
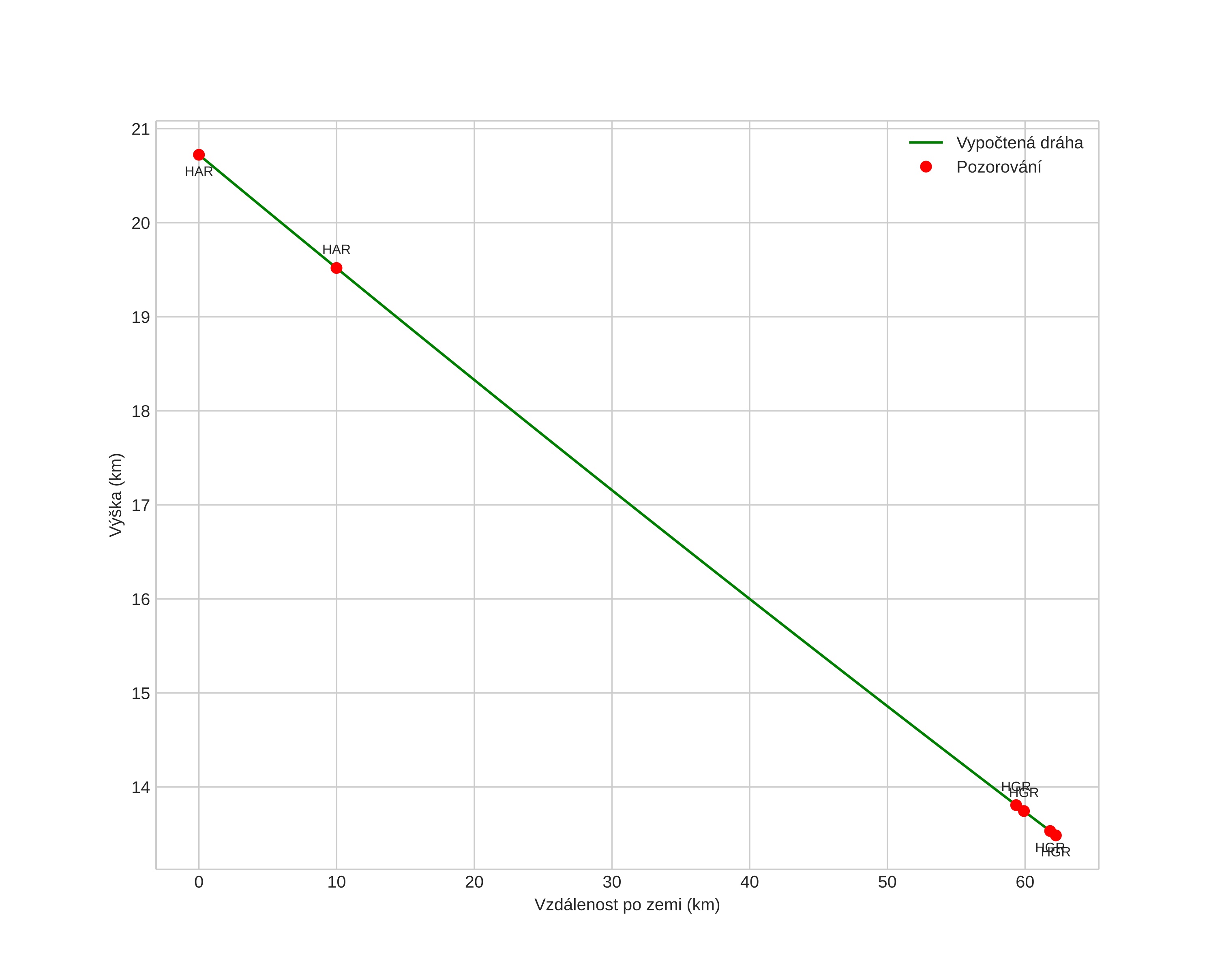
Atmosférická dráha meteoru:
Počáteční výška: 20,7 km
Konečná výška: 13,5 km
Počáteční poloha: 60,633N 11,531E
Konečná poloha: 60,595N 10,393E
Směr: 266,6°
Sklon: 6,6°
Vstupní rychlost: 9,9 km/s
position vs time
speed and acceleration