🇳🇴 🇬🇧 🇩🇪 🇨🇿 🇫🇮

Meteor Noran yllä 2026-02-21 22:48:00 UTC

KML-tiedosto  |  Interaktiivinen kartta

Kartta näyttää meteorin suuntahavainnot. Vaaleammat viivat näyttävät suunnat havaintoasemilta meteorin ilmestyessä, ja tummemmat viivat näyttävät, missä se viimeksi nähtiin. Sininen nuoli näyttää meteorin näkyvän lennon.

static map
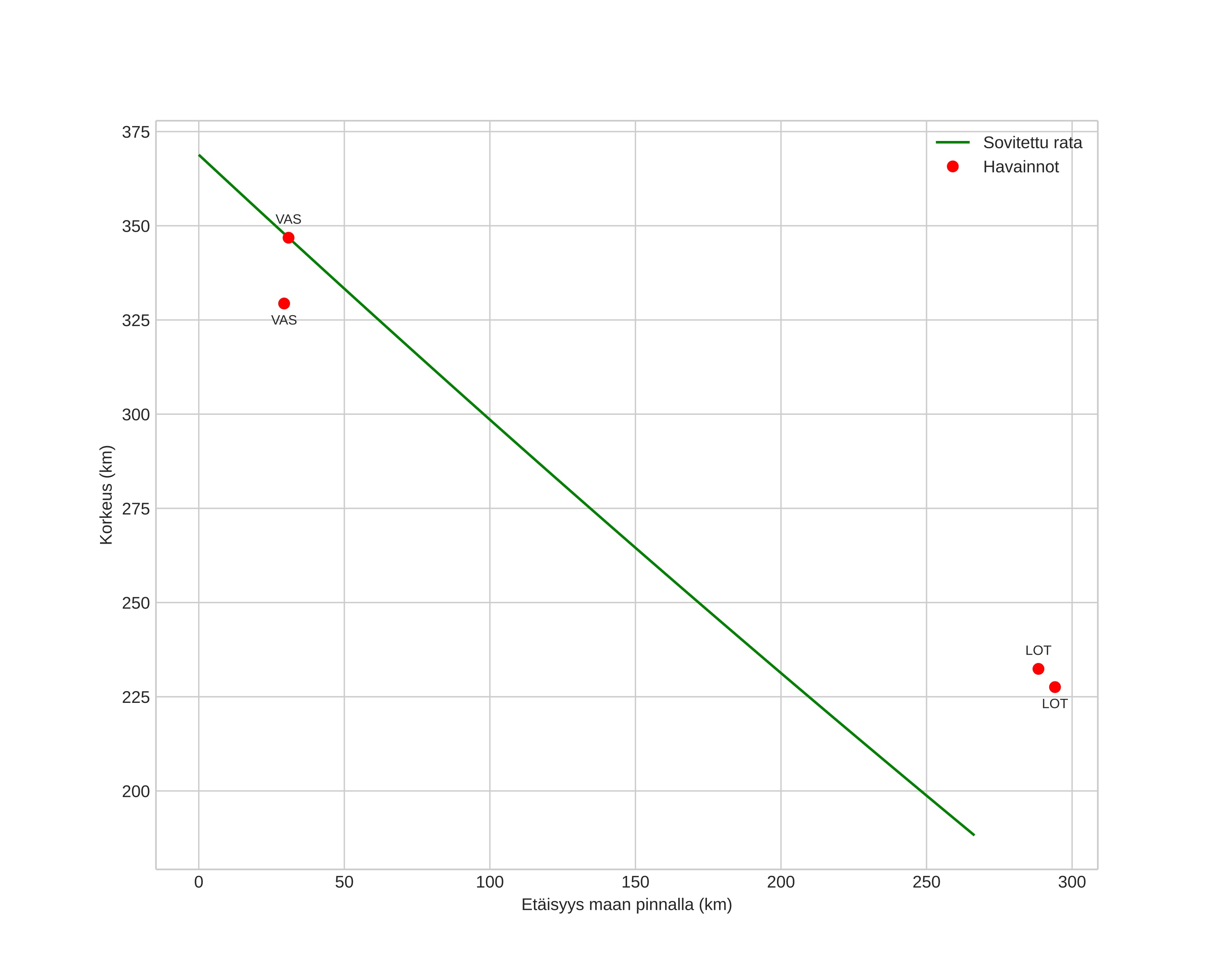
height profile
Meteorin ilmakehärata:
Alkukorkeus: 368,8 km
Loppukorkeus: 188,2 km
Alkupiste: 57,139N 15,483E
Loppupiste: 59,515N 14,875E
Suunta: 352,6°
Kallistuskulma: 34,1°
Tulonopeus: 94,0 km/s
Radiantin R,A,: 10:19 (154,9°)
Radiantin Dekl,: 1,4°
Meteoriparvi: Sporadinen
Meteoroidin rataelementit:
Perihelietäisyys: 0,227 AU
Eksentrisyys: 2,904
Inklinaatio: 28,9°
Nousevan solmun pituus: 153,0°
Perihelin argumentti: 92,0°
Keskianomalia: -400,7°
Epookki: 2026 FEB 21 22:48:00
orbit plot

Ei-interaktiivinen kuvaaja | Interaktiivinen kuvaaja

position vs time
speed and acceleration

Loten (LOT) cam3


gnomonic
Videot:
• Gnomoninen
• Gnomoninen koordinaateilla
• Alkuperäinen
• Alkuperäinen koordinaateilla
Kuvat:
• Gnomoninen
• Gnomoninen koordinaateilla
• Alkuperäinen
• Alkuperäinen koordinaateilla
Tekstitiedostot:
• Havaintoraportti
• Observaatio
• Koordinaatit
• Loki
Kirkkaus

Vasteras (VAS) cam7


gnomonic
Videot:
• Gnomoninen
• Gnomoninen koordinaateilla
• Alkuperäinen
• Alkuperäinen koordinaateilla
Kuvat:
• Gnomoninen
• Gnomoninen koordinaateilla
• Alkuperäinen
• Alkuperäinen koordinaateilla
Tekstitiedostot:
• Havaintoraportti
• Observaatio
• Koordinaatit
• Loki
Kirkkaus