🇳🇴 🇬🇧 🇩🇪 🇨🇿 🇫🇮

Meteor over Tranby 2026-02-22 00:59:56 UTC

KML-fil  |  Interaktivt kart

Kartet viser peilingene for meteoren. De lysere linjene viser retningene fra observasjonsstedene for meteorens tilsynekomst, og de mørkere linjene viser hvor den sist kunne sees. Den blå pila viser meteorens synlige ferd.

static map
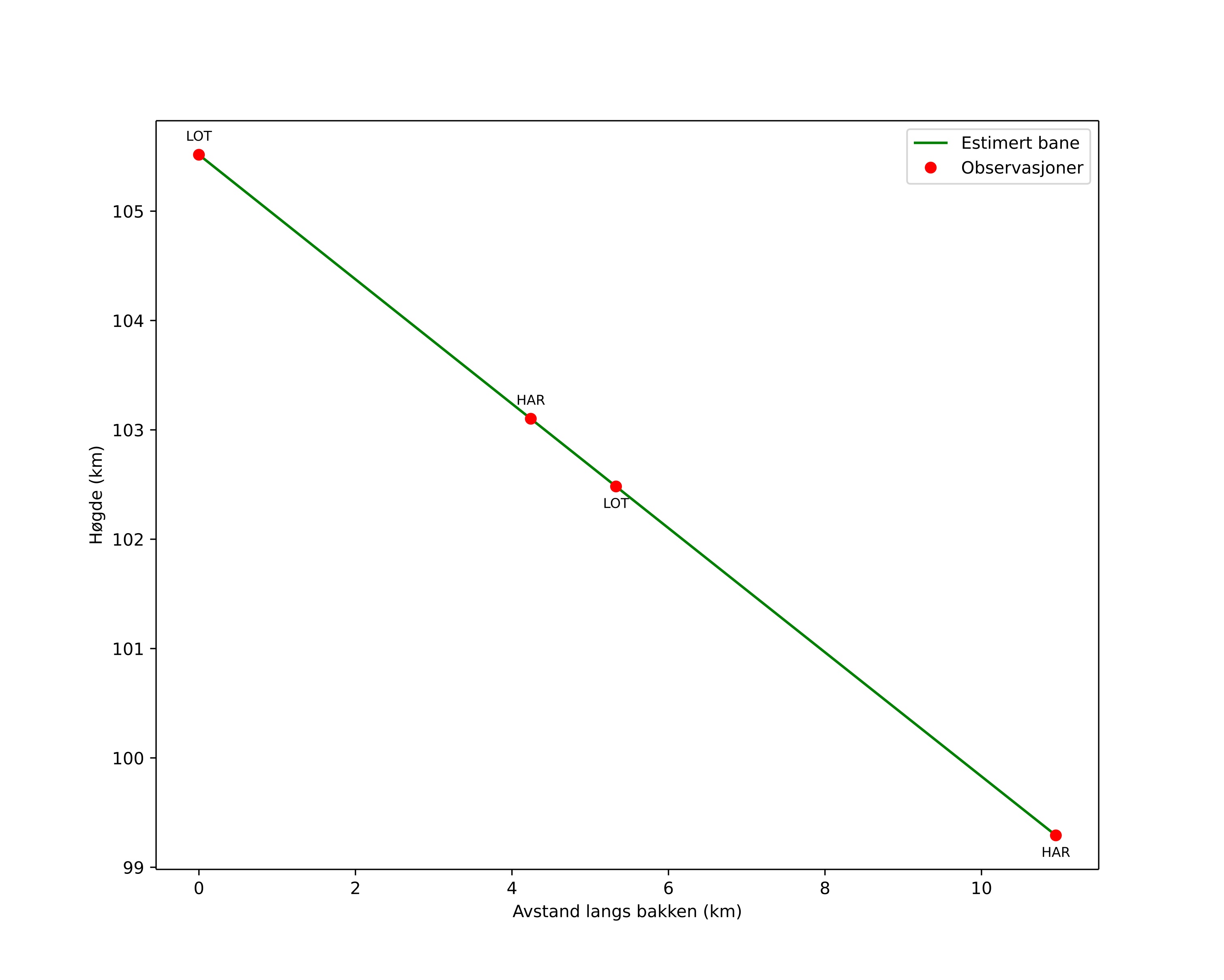
height profile
Meteorens atmosfæriske bane:
Starthøgde: 105,5 km
Slutthøgde: 99,3 km
Startposisjon: 59,825N 10,491E
Sluttposisjon: 59,805N 10,299E
Retning: 258,6°
Fallvinkel: 29,5°
Inngangshastighet: 61,4 km/s
Radiantens rektascensjon: 17:23 (260,8°)
Radiantens deklinasjon: 30,5°
Meteorsverm: sporadisk
Meteoroidens baneelement:
Perihelavstand: 0,965 AU
Eksentrisitet: 1,699
Inklinasjon: 95,6°
Knutelengde: 333,0°
Perihelargument: 163,8°
Midlere anomali: 5,8°
Epoke: 2026 FEB 22 00:59:56
orbit plot

Ikke-interaktivt plott | Interaktivt plott

position vs time
speed and acceleration

Harestua (HAR) cam7


gnomonic
Videoer
• Gnomonisk
• Gnomonisk med koordinater
• Original
• Original med koordinater
Bilder
• Gnomonisk
• Gnomonisk med koordinater
• Original
• Original med koordinater
Tekstfiler
• Deteksjon
• Observasjon
• Koordinater
• Logg
Lysstyrke

Loten (LOT) cam7


gnomonic
Videoer
• Gnomonisk
• Gnomonisk med koordinater
• Original
• Original med koordinater
Bilder
• Gnomonisk
• Gnomonisk med koordinater
• Original
• Original med koordinater
Tekstfiler
• Deteksjon
• Observasjon
• Koordinater
• Logg
Lysstyrke