🇳🇴 🇬🇧 🇩🇪 🇨🇿 🇫🇮

Meteor, poloha: Fjellfoten 2026-02-22 02:24:33 UTC

Soubor KML  |  Interaktivní mapa

Mapa zobrazuje dráhy meteoru. Světlejší čáry ukazují směry od pozorovacích stanic při objevení se meteoru a tmavší čáry, kde byl naposledy viděn. Modrá šipka značí viditelnou dráhu meteoru.

static map
height profile
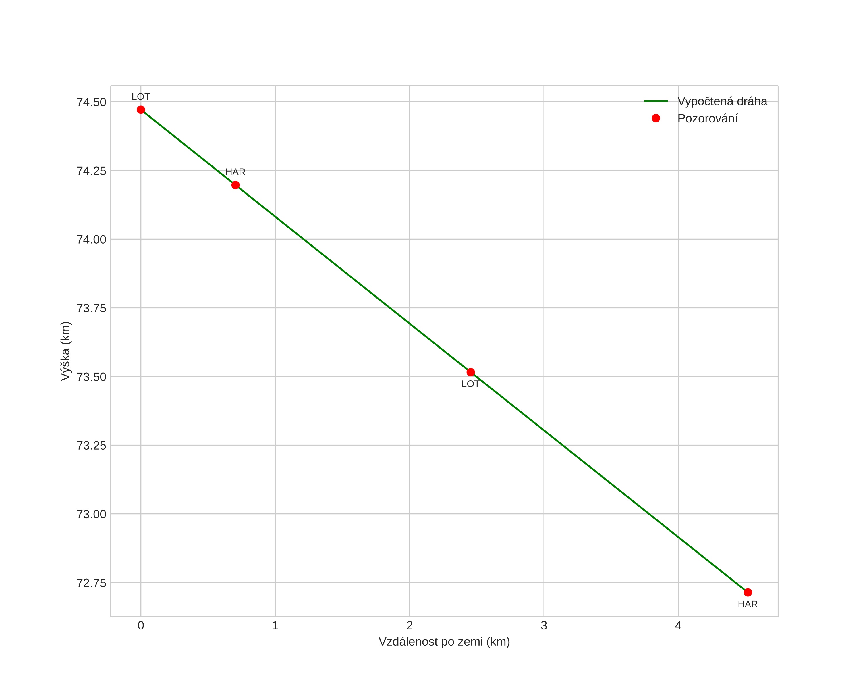
Atmosférická dráha meteoru:
Počáteční výška: 74,5 km
Konečná výška: 72,7 km
Počáteční poloha: 60,092N 11,579E
Konečná poloha: 60,052N 11,597E
Směr: 167,7°
Sklon: 21,7°
Vstupní rychlost: 6,8 km/s
position vs time
speed and acceleration