🇳🇴 🇬🇧 🇩🇪 🇨🇿 🇫🇮

Meteor, poloha: Hokksund 2026-02-22 02:52:51 UTC

Soubor KML  |  Interaktivní mapa

Mapa zobrazuje dráhy meteoru. Světlejší čáry ukazují směry od pozorovacích stanic při objevení se meteoru a tmavší čáry, kde byl naposledy viděn. Modrá šipka značí viditelnou dráhu meteoru.

static map
height profile
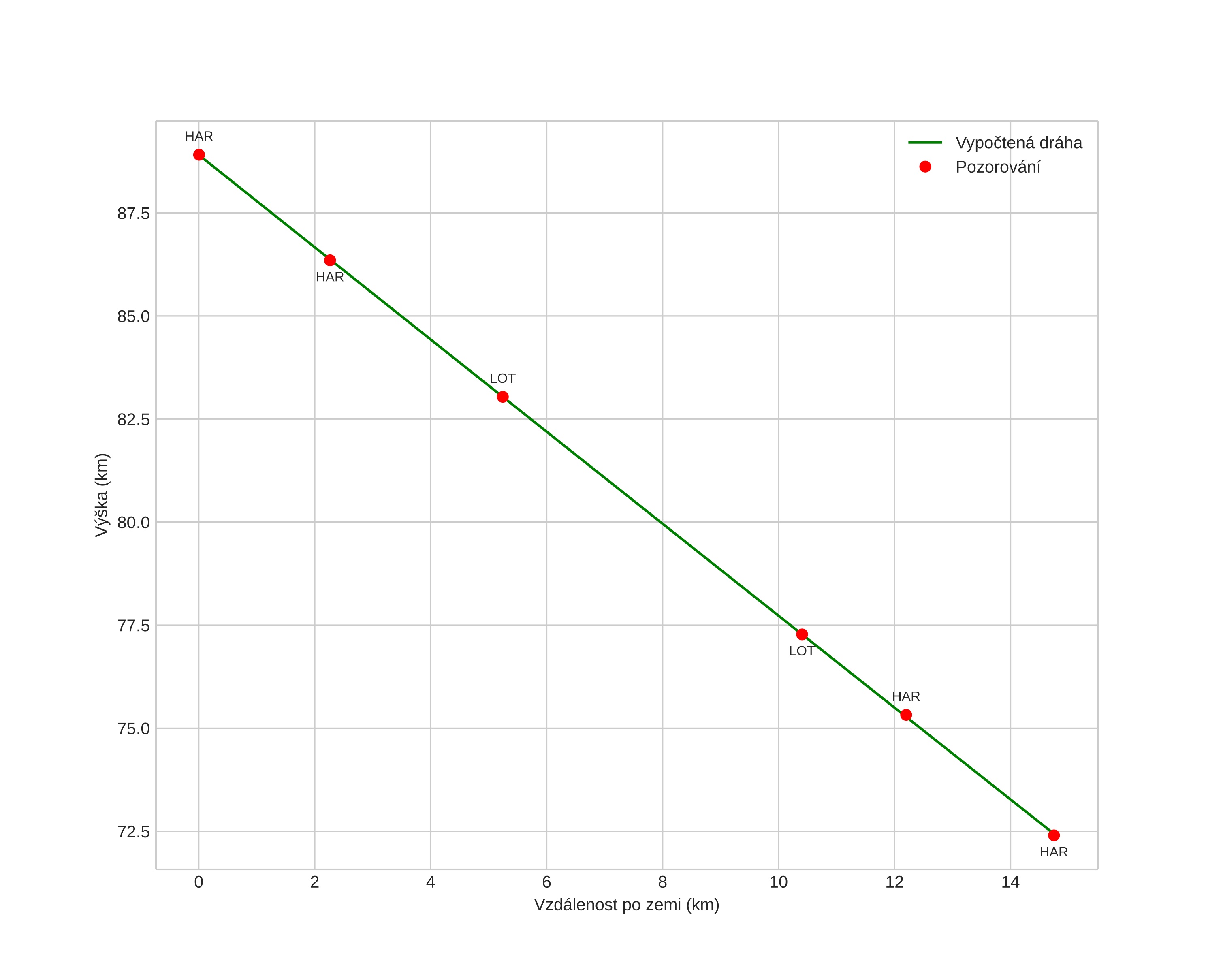
Atmosférická dráha meteoru:
Počáteční výška: 88,9 km
Konečná výška: 72,4 km
Počáteční poloha: 59,815N 9,614E
Konečná poloha: 59,761N 9,854E
Směr: 114,1°
Sklon: 48,2°
Vstupní rychlost: 9,5 km/s
position vs time
speed and acceleration