🇳🇴 🇬🇧 🇩🇪 🇨🇿 🇫🇮

Meteor over Djurås 2026-02-22 02:56:13 UTC

KML-fil  |  Interaktivt kart

Kartet viser peilingene for meteoren. De lysere linjene viser retningene fra observasjonsstedene for meteorens tilsynekomst, og de mørkere linjene viser hvor den sist kunne sees. Den blå pila viser meteorens synlige ferd.

static map
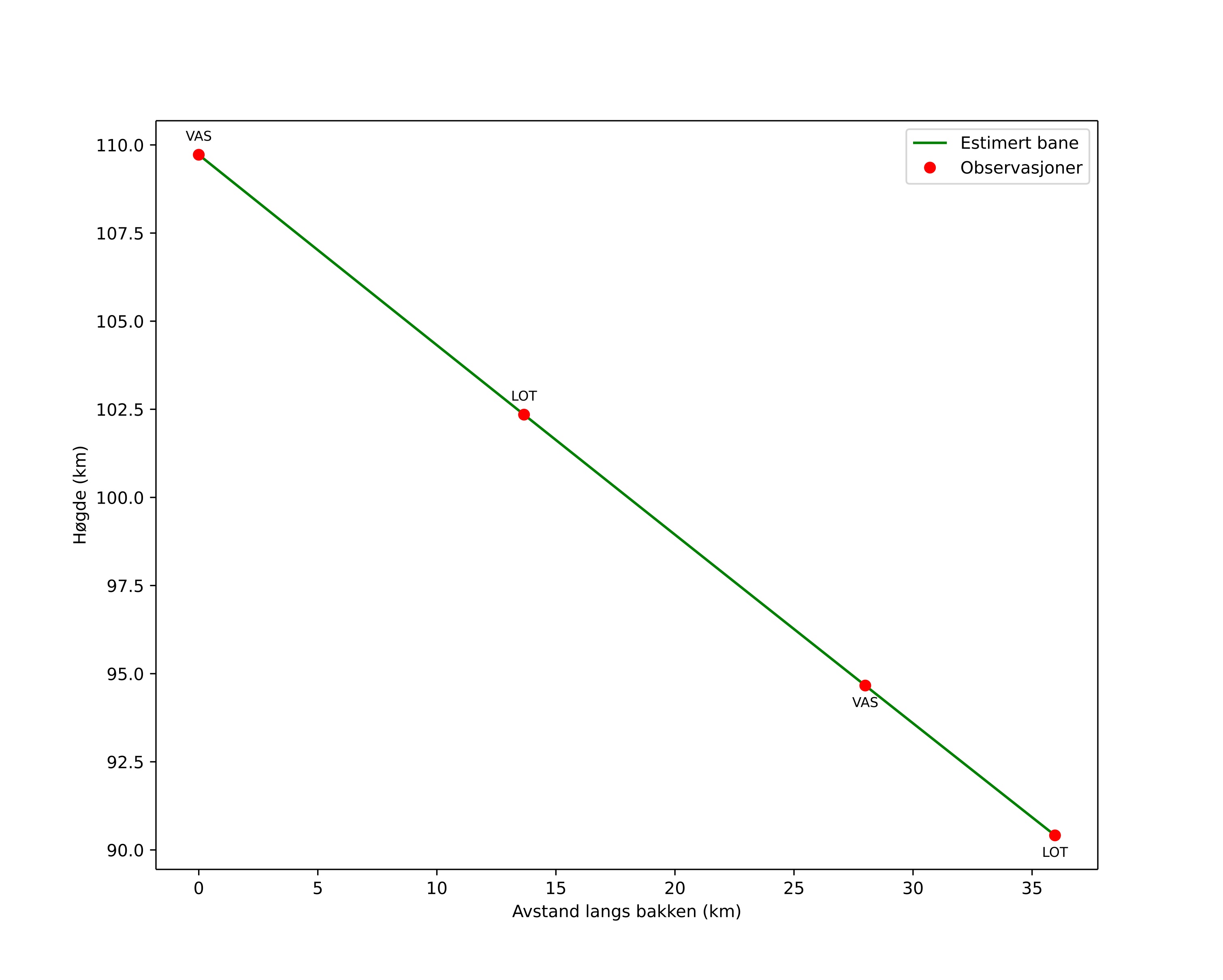
height profile
Meteorens atmosfæriske bane:
Starthøgde: 109,7 km
Slutthøgde: 90,4 km
Startposisjon: 60,293N 15,763E
Sluttposisjon: 60,488N 15,239E
Retning: 307,2°
Fallvinkel: 28,2°
Inngangshastighet: 68,9 km/s
Radiantens rektascensjon: 17:06 (256,7°)
Radiantens deklinasjon: 8,1°
Meteorsverm: sporadisk
Meteoroidens baneelement:
Perihelavstand: 0,929 AU
Eksentrisitet: 1,295
Inklinasjon: 127,9°
Knutelengde: 333,1°
Perihelargument: 153,1°
Midlere anomali: 3,0°
Epoke: 2026 FEB 22 02:56:13
orbit plot

Ikke-interaktivt plott | Interaktivt plott

position vs time
speed and acceleration

Loten (LOT) cam2


gnomonic
Videoer
• Gnomonisk
• Gnomonisk med koordinater
• Original
• Original med koordinater
Bilder
• Gnomonisk
• Gnomonisk med koordinater
• Original
• Original med koordinater
Tekstfiler
• Deteksjon
• Observasjon
• Koordinater
• Logg
Lysstyrke

Vasteras (VAS) cam6


gnomonic
Videoer
• Gnomonisk
• Gnomonisk med koordinater
• Original
• Original med koordinater
Bilder
• Gnomonisk
• Gnomonisk med koordinater
• Original
• Original med koordinater
Tekstfiler
• Deteksjon
• Observasjon
• Koordinater
• Logg
Lysstyrke