🇳🇴 🇬🇧 🇩🇪 🇨🇿 🇫🇮

Meteor over Åsgårdstrand 2026-02-22 05:13:37 UTC

KML-fil  |  Interaktivt kart

Kartet viser peilingene for meteoren. De lysere linjene viser retningene fra observasjonsstedene for meteorens tilsynekomst, og de mørkere linjene viser hvor den sist kunne sees. Den blå pila viser meteorens synlige ferd.

static map
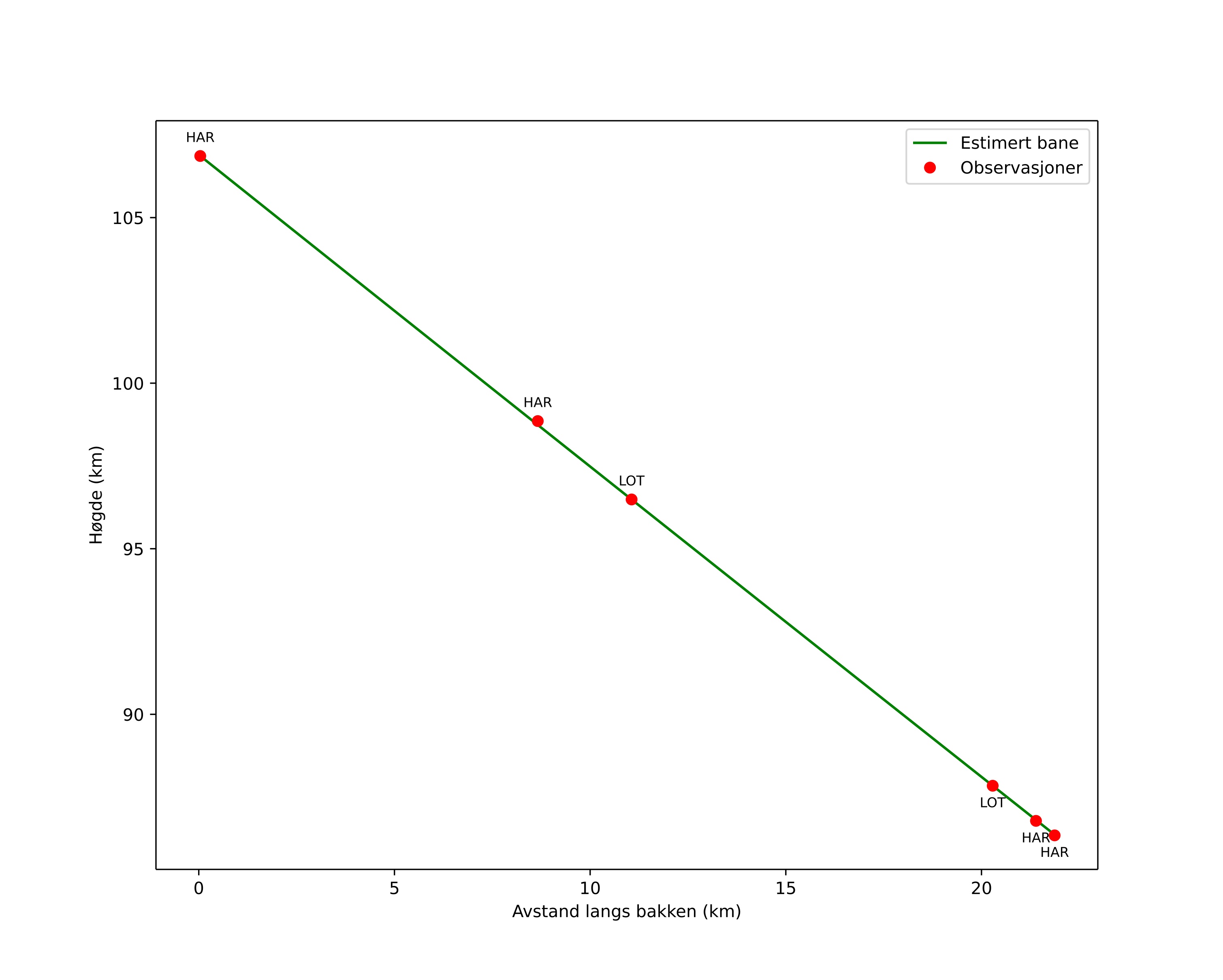
height profile
Meteorens atmosfæriske bane:
Starthøgde: 106,9 km
Slutthøgde: 86,4 km
Startposisjon: 59,214N 10,128E
Sluttposisjon: 59,283N 10,489E
Retning: 69,6°
Fallvinkel: 43,1°
Inngangshastighet: 46,9 km/s
Radiantens rektascensjon: 12:37 (189,5°)
Radiantens deklinasjon: 26,6°
Meteorsverm: sporadisk
Meteoroidens baneelement:
Perihelavstand: 0,344 AU
Eksentrisitet: 1,073
Inklinasjon: 57,5°
Knutelengde: 333,2°
Perihelargument: 285,1°
Midlere anomali: -3,4°
Epoke: 2026 FEB 22 05:13:37
orbit plot

Ikke-interaktivt plott | Interaktivt plott

position vs time
speed and acceleration

Harestua (HAR) cam3


preview
Videoer
• Gnomonisk
• Gnomonisk med koordinater
• Original
• Original med koordinater
Bilder
• Gnomonisk
• Gnomonisk med koordinater
• Original
• Original med koordinater
Tekstfiler
• Deteksjon
• Observasjon
• Koordinater
• Logg
Lysstyrke

Harestua (HAR) cam4


preview
Videoer
• Gnomonisk
• Gnomonisk med koordinater
• Original
• Original med koordinater
Bilder
• Gnomonisk
• Gnomonisk med koordinater
• Original
• Original med koordinater
Tekstfiler
• Deteksjon
• Observasjon
• Koordinater
• Logg
Lysstyrke

Loten (LOT) cam4


preview
Videoer
• Gnomonisk
• Gnomonisk med koordinater
• Original
• Original med koordinater
Bilder
• Gnomonisk
• Gnomonisk med koordinater
• Original
• Original med koordinater
Tekstfiler
• Deteksjon
• Observasjon
• Koordinater
• Logg
Lysstyrke