Mapa zobrazuje dráhy meteoru. Světlejší čáry ukazují směry od pozorovacích stanic při objevení se meteoru a tmavší čáry, kde byl naposledy viděn. Modrá šipka značí viditelnou dráhu meteoru.


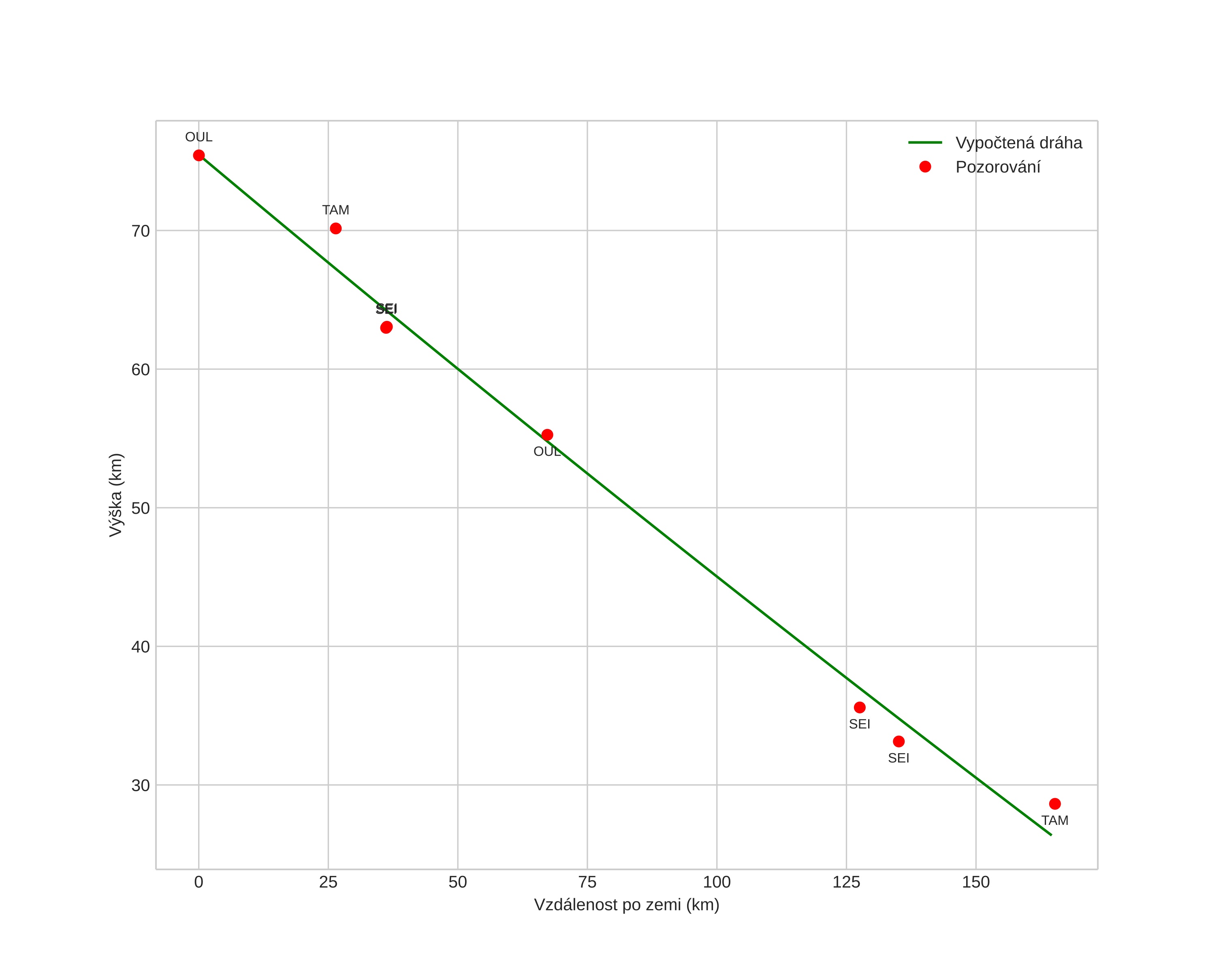
Atmosférická dráha meteoru:
|
Elementy dráhy meteoroidu:
|


![]() |
![]() |