🇳🇴 🇬🇧 🇩🇪 🇨🇿 🇫🇮

Meteor over VÃ¥ler 2026-02-24 00:23:42 UTC

KML-fil  |  Interaktivt kart

Kartet viser peilingene for meteoren. De lysere linjene viser retningene fra observasjonsstedene for meteorens tilsynekomst, og de mørkere linjene viser hvor den sist kunne sees. Den blå pila viser meteorens synlige ferd.

static map
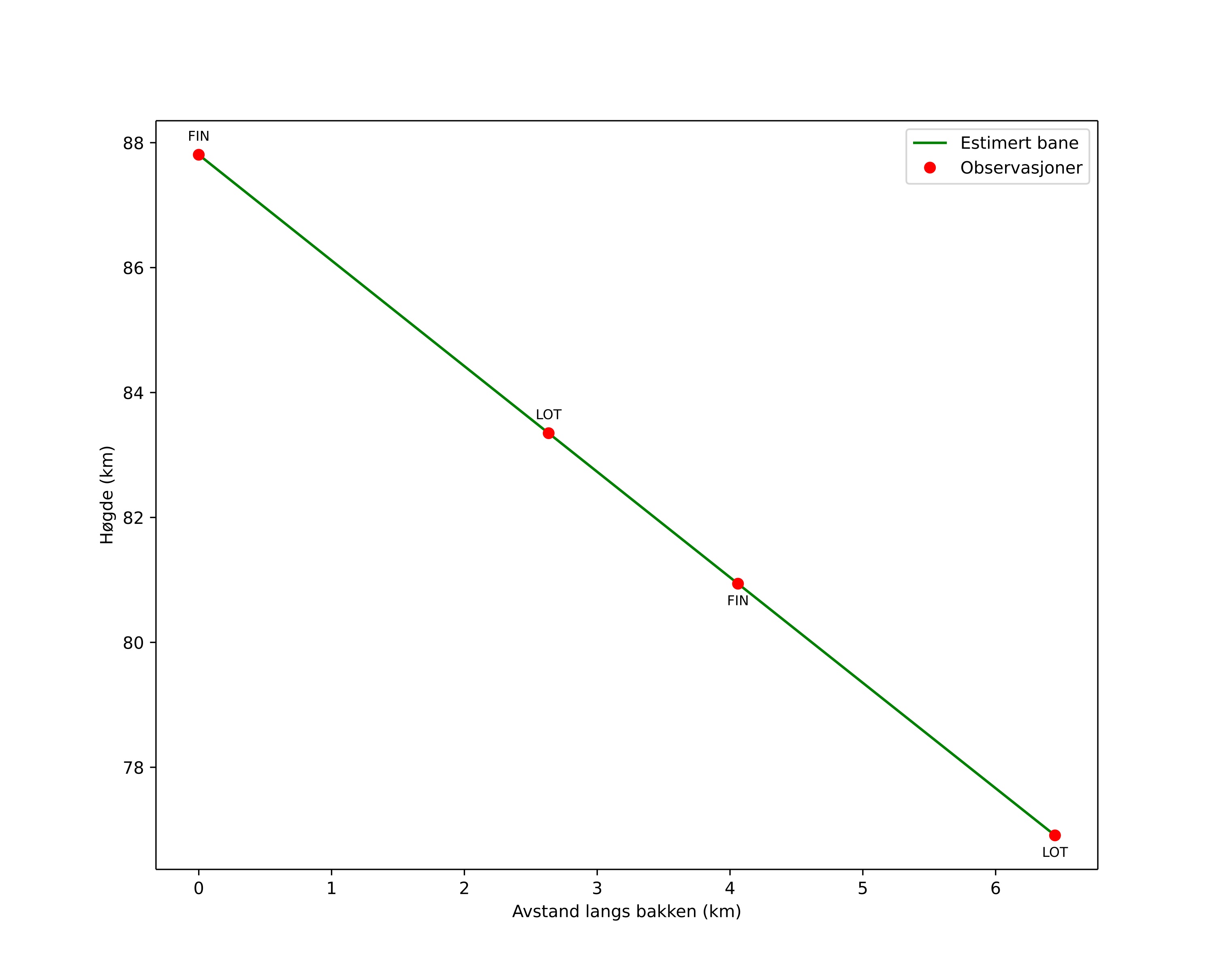
height profile
Meteorens atmosfæriske bane:
Starthøgde: 87,8 km
Slutthøgde: 76,9 km
Startposisjon: 60,464N 11,914E
Sluttposisjon: 60,502N 11,825E
Retning: 311,0°
Fallvinkel: 59,4°
Inngangshastighet: 41,3 km/s
Radiantens rektascensjon: 13:18 (199,5°)
Radiantens deklinasjon: 35,3°
Meteorsverm: sporadisk
Meteoroidens baneelement:
Perihelavstand: 0,529 AU
Eksentrisitet: 0,910
Inklinasjon: 57,0°
Knutelengde: 335,0°
Perihelargument: 268,7°
Midlere anomali: 357,2°
Epoke: 2026 FEB 24 00:23:42
orbit plot

Ikke-interaktivt plott | Interaktivt plott

position vs time
speed and acceleration

Finnskogen (FIN) cam7


preview
Videoer
• Gnomonisk
• Gnomonisk med koordinater
• Original
• Original med koordinater
Bilder
• Gnomonisk
• Gnomonisk med koordinater
• Original
• Original med koordinater
Tekstfiler
• Deteksjon
• Observasjon
• Koordinater
• Logg
Lysstyrke

Loten (LOT) cam7


preview
Videoer
• Gnomonisk
• Gnomonisk med koordinater
• Original
• Original med koordinater
Bilder
• Gnomonisk
• Gnomonisk med koordinater
• Original
• Original med koordinater
Tekstfiler
• Deteksjon
• Observasjon
• Koordinater
• Logg
Lysstyrke