🇳🇴 🇬🇧 🇩🇪 🇨🇿 🇫🇮

Meteor Vålerin yllä 2026-02-24 00:23:42 UTC

KML-tiedosto  |  Interaktiivinen kartta

Kartta näyttää meteorin suuntahavainnot. Vaaleammat viivat näyttävät suunnat havaintoasemilta meteorin ilmestyessä, ja tummemmat viivat näyttävät, missä se viimeksi nähtiin. Sininen nuoli näyttää meteorin näkyvän lennon.

static map
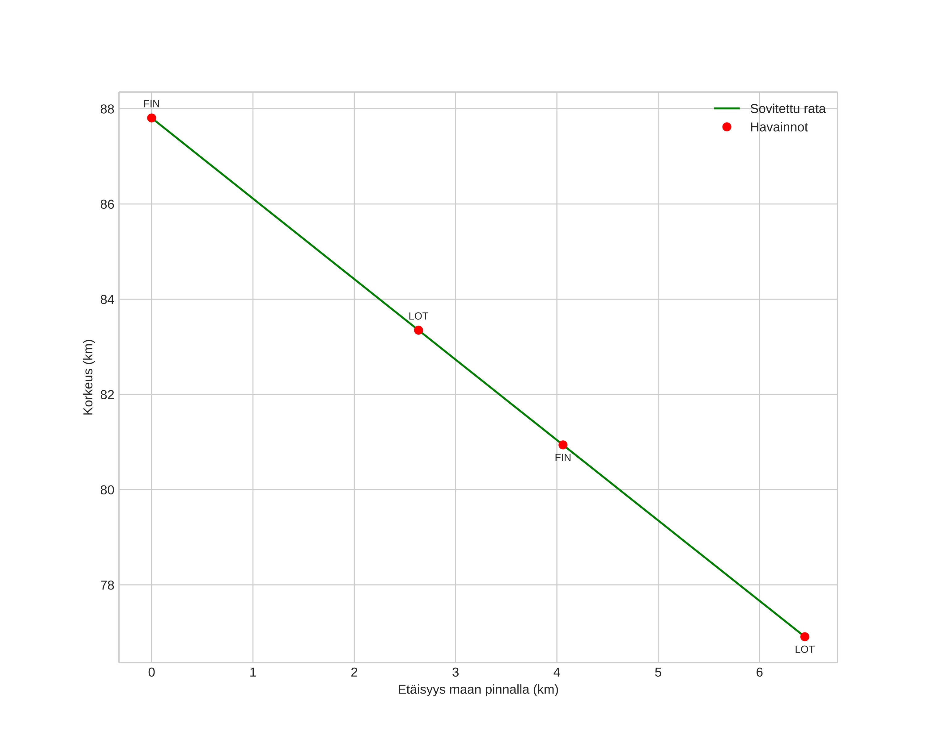
height profile
Meteorin ilmakehärata:
Alkukorkeus: 87,8 km
Loppukorkeus: 76,9 km
Alkupiste: 60,464N 11,914E
Loppupiste: 60,502N 11,825E
Suunta: 311,0°
Kallistuskulma: 59,4°
Tulonopeus: 41,3 km/s
Radiantin R,A,: 13:18 (199,5°)
Radiantin Dekl,: 35,3°
Meteoriparvi: Sporadinen
Meteoroidin rataelementit:
Perihelietäisyys: 0,529 AU
Eksentrisyys: 0,910
Inklinaatio: 57,0°
Nousevan solmun pituus: 335,0°
Perihelin argumentti: 268,7°
Keskianomalia: 357,2°
Epookki: 2026 FEB 24 00:23:42
orbit plot

Ei-interaktiivinen kuvaaja | Interaktiivinen kuvaaja

position vs time
speed and acceleration

Finnskogen (FIN) cam7


preview
Videot:
• Gnomoninen
• Gnomoninen koordinaateilla
• Alkuperäinen
• Alkuperäinen koordinaateilla
Kuvat:
• Gnomoninen
• Gnomoninen koordinaateilla
• Alkuperäinen
• Alkuperäinen koordinaateilla
Tekstitiedostot:
• Havaintoraportti
• Observaatio
• Koordinaatit
• Loki
Kirkkaus

Loten (LOT) cam7


preview
Videot:
• Gnomoninen
• Gnomoninen koordinaateilla
• Alkuperäinen
• Alkuperäinen koordinaateilla
Kuvat:
• Gnomoninen
• Gnomoninen koordinaateilla
• Alkuperäinen
• Alkuperäinen koordinaateilla
Tekstitiedostot:
• Havaintoraportti
• Observaatio
• Koordinaatit
• Loki
Kirkkaus