🇳🇴 🇬🇧 🇩🇪 🇨🇿 🇫🇮

Meteor over Elverum 2026-02-24 00:28:49 UTC

KML file  |  Interactive map

The map shows the bearings for the meteor. The lighter lines show the directions from the observation sites at the meteor's appearance, and the darker lines show where it was last seen. The blue arrow indicates the visible path of the meteor.

static map
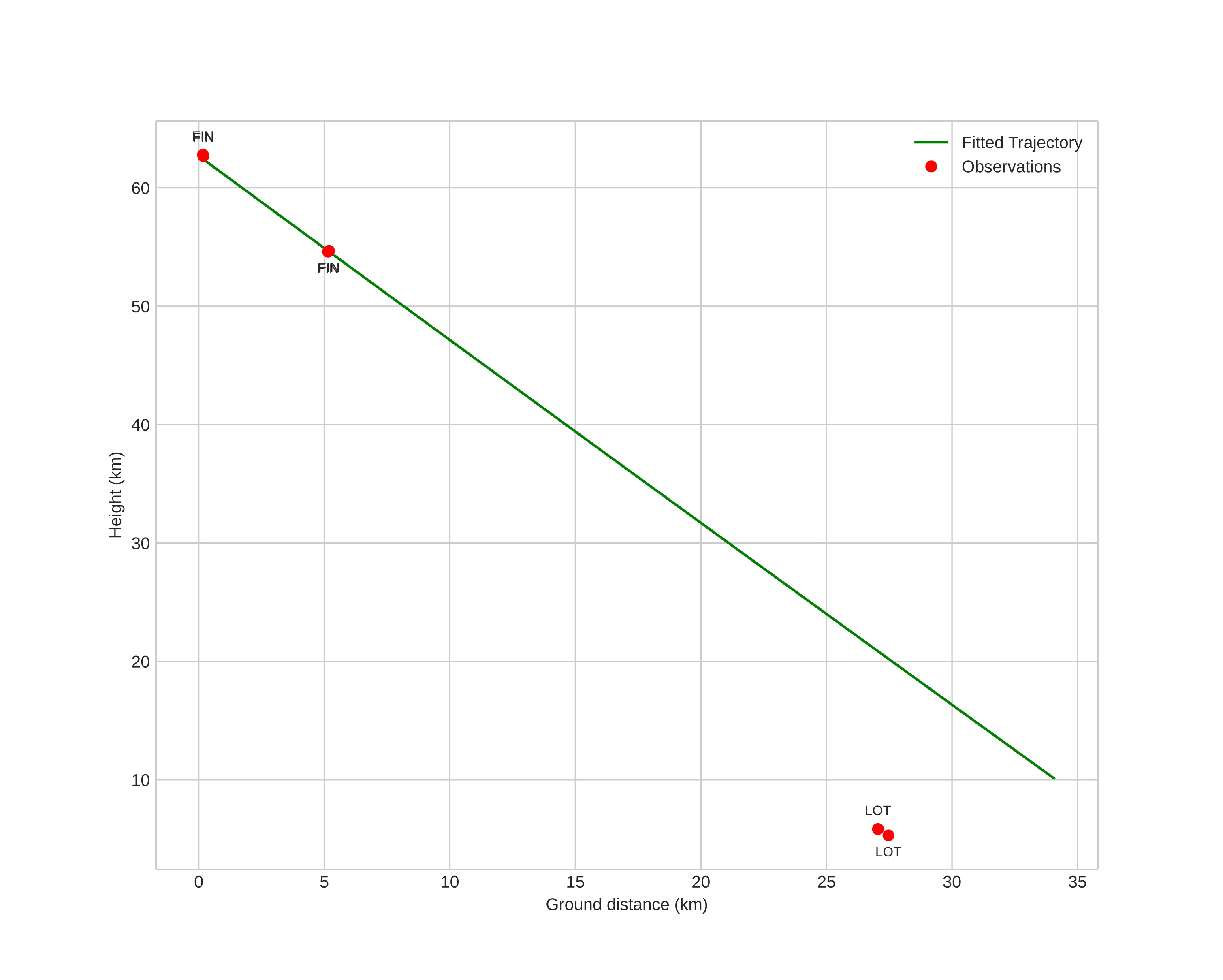
height profile
wind profile
Meteor's Atmospheric Trajectory:
Start height: 62.7 km
End height: 10.1 km
Start position: 60.558N 11.932E
End position: 60.795N 11.536E
Direction: 320.9°
Inclination angle: 57.0°
Entry speed: 26.8 km/s
Radiant R.A.: 13:05 (196.5°)
Radiant Dec.: 30.2°
Meteor Shower: sporadic
Meteoroid's Orbital Elements:
Perihelion distance: 0.439 AU
Eccentricity: 0.577
Inclination: 32.8°
Long. of Asc. Node: 335.0°
Argument of Perihelion: 301.4°
Mean Anomaly: 307.5°
Epoch: 2026 FEB 24 00:28:49
orbit plot

Non-interactive plot | Interactive plot

position vs time
speed and acceleration

Finnskogen (FIN) cam4


gnomonic
Videos
• Gnomonic
• Gnomonic with coordinates
• Original
• Original with coordinates
Images
• Gnomonic
• Gnomonic with coordinates
• Original
• Original with coordinates
Text Files
• Detection
• Observation
• Coordinates
• Log
Brightness

Finnskogen (FIN) cam7


gnomonic
Videos
• Gnomonic
• Gnomonic with coordinates
• Original
• Original with coordinates
Images
• Gnomonic
• Gnomonic with coordinates
• Original
• Original with coordinates
Text Files
• Detection
• Observation
• Coordinates
• Log
Brightness

Loten (LOT) cam7


gnomonic
Videos
• Gnomonic
• Gnomonic with coordinates
• Original
• Original with coordinates
Images
• Gnomonic
• Gnomonic with coordinates
• Original
• Original with coordinates
Text Files
• Detection
• Observation
• Coordinates
• Log
Brightness