🇳🇴 🇬🇧 🇩🇪 🇨🇿 🇫🇮

Meteor über Andenes 2026-02-24 02:45:10 UTC

KML-Datei  |  Interaktive Karte

Die Karte zeigt die Peilungen für den Meteor. Die helleren Linien zeigen die Richtungen von den Beobachtungsorten beim Erscheinen des Meteors, und die dunkleren Linien, wo er zuletzt gesehen wurde. Der blaue Pfeil zeigt die sichtbare Bahn des Meteors.

static map
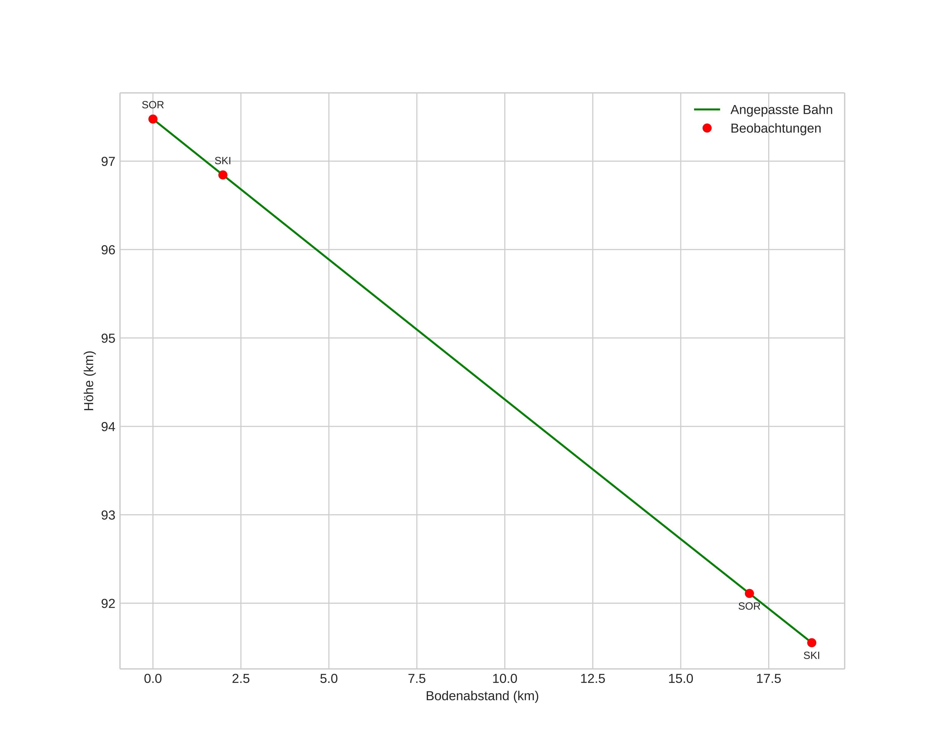
height profile
Atmosphärische Bahn des Meteors:
Anfangshöhe: 97,5 km
Endhöhe: 91,6 km
Startposition: 69,739N 16,284E
Endposition: 69,767N 15,804E
Richtung: 279,6°
Neigungswinkel: 17,5°
Eintrittsgeschwindigkeit: 53,9 km/s
Rektaszension des Radianten: 19:05 (286,3°)
Deklination des Radianten: 12,2°
Meteorstrom: sporadisch
Bahnelemente des Meteoroiden:
Periheldistanz: 0,487 AU
Exzentrizität: 1,021
Inklination: 91,7°
Länge des aufsteigenden Knotens: 335,1°
Argument des Perihels: 89,7°
Mittlere Anomalie: 0,3°
Epoche: 2026 FEB 24 02:45:10
orbit plot

Nicht-interaktives Diagramm | Interaktives Diagramm

position vs time
speed and acceleration

Skibotn (SKI) cam5


gnomonic
Videos
• Gnomonisch
• Gnomonisch mit Koordinaten
• Original
• Original mit Koordinaten
Bilder
• Gnomonisch
• Gnomonisch mit Koordinaten
• Original
• Original mit Koordinaten
Textdateien
• Erkennung
• Beobachtung
• Koordinaten
• Protokoll
Helligkeit

Sorreisa (SOR) cam6


gnomonic
Videos
• Gnomonisch
• Gnomonisch mit Koordinaten
• Original
• Original mit Koordinaten
Bilder
• Gnomonisch
• Gnomonisch mit Koordinaten
• Original
• Original mit Koordinaten
Textdateien
• Erkennung
• Beobachtung
• Koordinaten
• Protokoll
Helligkeit